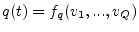
The Basic Concept

As the non-linear elements are still modeled in time domain, the circuit first must be separated into a linear and a non-linear part. The internal impedances $ Z_i$ of the voltage sources are put into the linear part as well. Figure 7.1 illustrates the concept. Let us define the following symbols:

M = number of (independent) voltage sources
N = number of connections between linear and non-linear subcircuit
K = number of calculated harmonics
L = number of nodes in linear subcircuit

Figure 7.1: circuit partitioning in harmonic balance
\includegraphics[width=9cm]{hb_concept}

The linear circuit is modeled by two transadmittance matrices: The first one $ \tilde{\boldsymbol{Y}}$ relates the source voltages $ v_{S,1}...v_{S,M}$ to the interconnection currents $ i_1...i_N$ and the second one $ \hat{\boldsymbol{Y}}$ relates the interconnection voltages $ v_1...v_N$ to the interconnection currents $ i_1...i_N$. Taking both, we can express the current flowing through the interconnections between linear and non-linear subcircuit:

$\displaystyle \boldsymbol{I} = \boldsymbol{\tilde{Y}}_{N\times M}\cdot \boldsym...
...ot \boldsymbol{V} = \boldsymbol{I}_S + \boldsymbol{\hat{Y}}\cdot \boldsymbol{V}$ (7.1)

Because $ \boldsymbol{V}_S$ is known and constant, the first term can already be computed to give $ \boldsymbol{I}_S$. Taking the whole linear network as one block is called the "piecewise" harmonic balance technique.

The non-linear circuit is modeled by its current function $ i(t) = f_g(v_1, ..., v_P)$ and by the charge of its capacitances $ q(t) = f_q(v_1, ..., v_Q)$. These functions must be Fourier-transformed to give the frequency-domain vectors $ \boldsymbol{Q}$ and $ \boldsymbol{I}_G$, respectively.

A simulation result is found if the currents through the interconnections are the same for the linear and the non-linear subcircuit. This principle actually gave the harmonic balance simulation its name, because through the interconnections the currents of the linear and non-linear subcircuits have to be balanced at every harmonic frequency. To be precise the described method is called Kirchhoff's current law harmonic balance (KCL-HB). Theoretically, it would also be possible to use an algorithm that tries to balance the voltages at the subcircuit interconnections. But then the Z matrix (linear subcircuit) and current-dependend voltage laws (non-linear subcircuit) have to be used. That doesn't fit the need (see other simulation types).

So, the non-linear equation system that needs to be solved writes:

$\displaystyle \textbf{F}(\textbf{V}) = \underbrace{(\boldsymbol{I}_S) + (\bolds...
...a}\cdot \boldsymbol{Q} + \boldsymbol{I}_G}_{\text{non-linear}} = \boldsymbol{0}$ (7.2)

where matrix $ \boldsymbol{\Omega}$ contains the angular frequencies on the first main diagonal and zeros anywhere else, $ \boldsymbol{0}$ is the zero vector.

After each iteration step, the inverse Fourier transformation must be applied to the voltage vector $ \boldsymbol{V}$. Then the time domain voltages $ v_{0,1}...v_{K,N}$ are put into $ i(t) = f_g(v_1, ..., v_P)$ and $ q(t) = f_q(v_1, ..., v_Q)$ again. Now, a Fourier transformation gives the vectors $ \boldsymbol{Q}$ and $ \boldsymbol{I}_G$ for the next iteration step. After repeating this several times, a simulation result has hopefully be found.

Having found this result means having got the voltages $ v_1...v_N$ at the interconnections of the two subcircuits. With these values the voltages at all nodes can be calculated: Forget about the non-linear subcircuit, put current sources at the former interconnections (using the calculated values) and perform a normal AC simulation. After that the simulation is complete.

A short note to the construction of the quantities: One big difference between the HB and the conventional simulation types like a DC or an AC simulation is the structure of the matrices and vectors. A vector used in a conventional simulation contains one value for each node. In an HB simulation there are many harmonics and thus, a vector contains $ K$ values for each node. This means that within a matrix, there is a $ K \times K$ diagonal submatrix for each node. Using this structure, all equations can be written in the usual way, i.e. without paying attention to the special matrix and vector structure. In a computer program, however, a special matrix class is needed in order to not waste memory for the off-diagonal zeros.


This document was generated by Stefan Jahn on 2007-12-30 using latex2html.