Subsections

Single microstrip line

Figure 11.1: single microstrip line
\includegraphics[width=12cm]{msline}

The electrical parameters of microstrip lines which are required for circuit design are impedance, attenuation, wavelength and propagation constant. These parameters are interrelated for all microstrips assuming that the propagation mode is a transverse electromagnetic mode, or it can be approximated by a transverse electromagnetic mode. The Y and S parameters can be found in section 9.20.

Quasi-static characteristic impedance

Wheeler

Harold A. Wheeler [16] formulated his synthesis and analysis equations based upon a conformal mapping's approximation of the dielectric boundary with parallel conductor strips separated by a dielectric sheet.

For wide strips ($ W/h > 3.3$) he obtains the approximation

$\displaystyle Z_{L}\left(W, h, \varepsilon_{r}\right) = \frac{Z_{F0}}{2\sqrt{\v...
...{\varepsilon_{r} - 1}{2\pi \varepsilon_{r}^{2}}\cdot \ln{\dfrac{e\pi^{2}}{16}}}$ (11.1)

For narrow strips ( $ W/h \le 3.3$) he obtains the approximation

$\displaystyle Z_{L}\left(W, h, \varepsilon_{r}\right) = \frac{Z_{F0}}{\pi \sqrt...
...\ln{\frac{\pi}{2}} + \frac{1}{\varepsilon_{r}} \ln{\frac{4}{\pi}}\right)\right)$ (11.2)

The formulae are applicable to alumina-type substrates ( $ 8 \le
\varepsilon_r \le 12$) and have an estimated relative error less than 1 per cent.

Figure 11.2: characteristic impedance as approximated by Hammerstad for $ \varepsilon _{r}$ = $ 1.0$ (air), $ 3.78$ (quartz) and $ 9.5$ (alumina)
\includegraphics[width=0.95\linewidth]{mszl}

Schneider

The following formulas obtained by rational function approximation give accuracy of $ \pm 0.25\%$ for $ 0 \le W/h \le 10$ which is the range of importance for most engineering applications. M.V. Schneider [17] found these approximations for the complete elliptic integrals of the first kind as accurate as $ \pm 1\%$ for $ W/h > 10$.

$\displaystyle Z_L = \dfrac{Z_{F0}}{\sqrt{\varepsilon_{r_{eff}}}}\cdot \begin{ca...
...rac{h}{W}\right)^6} & \textrm{ for } \dfrac{W}{h} > 1\\ \end{array} \end{cases}$ (11.3)

Hammerstad and Jensen

The equations for the single microstrip line presented by E. Hammerstad and Ø. Jensen [18] are based upon an equation for the impedance of microstrip in an homogeneous medium and an equation for the microstrip effective dielectric constant. The obtained accuracy gives errors at least less than those caused by physical tolerances and is better than $ 0.01\%$ for $ W/h \le 1$ and $ 0.03\%$ for $ W/h \le 1000$.

$\displaystyle Z_{L1}\left(W, h\right)$ $\displaystyle = \frac{Z_{F0}}{2\pi}\cdot\ln{\left(f_{u}\frac{h}{W} + \sqrt{1 + \left(\frac{2h}{W}\right)^{2}}\right)}$ (11.4)
$\displaystyle Z_{L}\left(W, h, \varepsilon_{r}\right)$ $\displaystyle = \dfrac{Z_{L1} \left(W, h\right)}{\sqrt{\varepsilon_{r}}} = \fra...
...ot\ln{\left(f_{u}\frac{h}{W} + \sqrt{1 + \left(\frac{2h}{W}\right)^{2}}\right)}$ (11.5)

with

$\displaystyle f_{u}$ $\displaystyle = 6 + \left(2\pi - 6\right)\cdot\exp{\left(-\left(30.666\cdot\frac{h}{W}\right)^{0.7528}\right)}$ (11.6)

The comparison of the expression given for the quasi-static impedance as shown in fig. 11.3 has been done with respect to E. Hammerstad and Ø. Jensen. It reveals the advantage of closed-form expressions. The impedance step for Wheelers formulae at $ W/h = 3.3$ is approximately $ 0.1\ohm$.

Figure 11.3: characteristic impedance in comparison for $ \varepsilon _{r} = 9.8$
\includegraphics[width=0.95\linewidth]{mscomparezl}

Quasi-static effective dielectric constant

Wheeler

Harold A. Wheeler [19] gives the following approximation for narrow strips ($ W/h < 3$) based upon the characteristic impedance $ Z_L$. The estimated relative error is less than 1%.

$\displaystyle \varepsilon_{r_{eff}} = \frac{\varepsilon_{r} + 1}{2} + \frac{Z_{...
... \left(\ln{\frac{\pi}{2}} + \frac{1}{\varepsilon_{r}} \ln{\frac{4}{\pi}}\right)$ (11.7)

For narrow strips ( $ W/h \le 1.3$):

$\displaystyle \varepsilon_{r_{eff}} = \dfrac{1 + \varepsilon_r}{2}\cdot \left(\dfrac{A}{A - B}\right)^2$ (11.8)

with

$\displaystyle A$ $\displaystyle = \ln{\left(8\dfrac{h}{W}\right)} + \dfrac{1}{32}\cdot\left(\dfrac{W}{h}\right)^2$ (11.9)
$\displaystyle B$ $\displaystyle = \dfrac{1}{2}\cdot \dfrac{\varepsilon_r - 1}{\varepsilon_r + 1} ...
...t\left(\ln{\dfrac{\pi}{2}} + \dfrac{1}{\varepsilon_r}\ln{\dfrac{4}{\pi}}\right)$ (11.10)

For wide strips ($ W/h > 1.3$):

$\displaystyle \varepsilon_{r_{eff}} = \varepsilon_r\cdot\left(\dfrac{E - D}{E}\right)^2$ (11.11)

with

$\displaystyle D$ $\displaystyle = \dfrac{\varepsilon_r - 1}{2\pi \varepsilon_r}\cdot\left(\ln{\le...
...0.94\right)\right)} - \dfrac{1}{\varepsilon_r} \ln{\dfrac{e\pi^{2}}{16}}\right)$ (11.12)
$\displaystyle E$ $\displaystyle = \dfrac{1}{2}\cdot\dfrac{W}{h} + \dfrac{1}{\pi}\cdot \ln{\left(\pi e \dfrac{W}{h} + 16.0547\right)}$ (11.13)

Schneider

The approximate function found by M.V. Schneider [17] is meant to have an accuracy of $ \pm 2\%$ for $ \varepsilon_{r_{eff}}$ and an accuracy of $ \pm 1\%$ for $ \sqrt{\varepsilon_{r_{eff}}}$.

$\displaystyle \varepsilon_{r_{eff}} = \dfrac{\varepsilon_{r} + 1}{2} + \dfrac{\varepsilon_{r} - 1}{2}\cdot\dfrac{1}{\sqrt{1 + 10\dfrac{h}{W}}}$ (11.14)

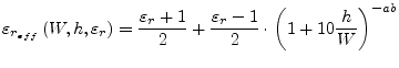
Hammerstad and Jensen

The accuracy of the E. Hammerstad and Ø. Jensen [18] model is better than 0.2% at least for $ \varepsilon_r < 128$ and $ 0.01 \le
W/h \le 100$.

$\displaystyle \varepsilon_{r_{eff}}\left(W, h, \varepsilon_r\right) = \frac{\va...
... 1}{2} + \frac{\varepsilon_{r} - 1}{2}\cdot\left(1 + 10\frac{h}{W}\right)^{-ab}$ (11.15)

with

$\displaystyle a\left(u\right)$ $\displaystyle = 1 + \frac{1}{49}\cdot\ln{\left(\frac{u^{4} + \left(u/52\right)^...
...ht)} + \frac{1}{18.7}\cdot\ln{\left(1 + \left(\frac{u}{18.1}\right)^{3}\right)}$ (11.16)
$\displaystyle b\left(\varepsilon_r\right)$ $\displaystyle = 0.564\cdot\left(\frac{\varepsilon_{r} - 0.9}{\varepsilon_{r} + 3}\right)^{0.053}$ (11.17)
$\displaystyle u$ $\displaystyle = \frac{W}{h}$ (11.18)

Strip thickness correction

The formulas given for the quasi-static characteristic impedance and effective dielectric constant in the previous sections are based upon an infinite thin microstrip line thickness $ t = 0$. A finite thickness $ t$ can be compensated by a reduction of width. That means a strip with the width $ W$ and the finite thickness $ t$ appears to be a wider strip.

Wheeler

Harold A. Wheeler [19] proposes the following equation to account for the strip thickness effect based on free space without dielectric.

$\displaystyle \Delta W_1 = \dfrac{t}{\pi} \ln{\dfrac{4 e}{\sqrt{\left(\dfrac{t}{h}\right)^2 + \left(\dfrac{1/\pi}{W/t + 1.10}\right)}}}$ (11.19)

For the mixed media case with dielectric he obtains the approximation

$\displaystyle \Delta W_r = \dfrac{1}{2} \Delta W_1 \left(1 + \dfrac{1}{\varepsilon_r}\right)$ (11.20)

Schneider

M.V. Schneider [17] derived the following approximate expressions.

$\displaystyle \Delta W = \begin{cases}\begin{array}{ll} \dfrac{t}{\pi}\cdot\lef...
...ight) & \textrm{ for } \dfrac{W}{h} > \dfrac{1}{2\pi}\\ \end{array} \end{cases}$ (11.21)

Additional restrictions for applying these expressions are $ t \ll h$, $ t < W/2$ and $ t/\Delta W < 0.75$. Notice also that the ratio $ \Delta
W / t$ is divergent for $ t \rightarrow 0$.

Hammerstad and Jensen

E. Hammerstad and Ø. Jensen are using the method described by Wheeler [19] to account for a non-zero strip thickness. However, some modifications in his equations have been made, which give better accuracy for narrow strips and for substrates with low dielectric constant. For the homogeneous media the correction is

$\displaystyle \Delta W_1 = \dfrac{t}{h\cdot\pi} \ln{\left(1 + \dfrac{4e}{\dfrac{t}{h}\cdot \coth^2{\sqrt{6.517 W}}}\right)}$ (11.22)

and for the mixed media the correction is

$\displaystyle \Delta W_r = \dfrac{1}{2} \Delta W_1 \left(1 + \text{sech} \sqrt{\varepsilon_r - 1}\right)$ (11.23)

By defining corrected strip widths, $ W_1 = W + \Delta W_1$ and $ W_r =
W + \Delta W_r$, the effect of strip thickness may be included in the equations (11.4) and (11.15).

$\displaystyle Z_L \left(W, h, t, \varepsilon_r\right)$ $\displaystyle = \dfrac{Z_{L1} \left(W_r, h\right)}{\sqrt{\varepsilon_{r_{eff}} \left(W_r, h, \varepsilon_r\right)}}$ (11.24)
$\displaystyle \varepsilon_{r_{eff}} \left(W, h, t, \varepsilon_r\right)$ $\displaystyle = \varepsilon_{r_{eff}} \left(W_r, h, \varepsilon_r\right) \cdot \left(\dfrac{Z_{L1} \left(W_1, h\right)}{Z_{L1} \left(W_r, h\right)}\right)^2$ (11.25)

Dispersion

Dispersion can be a strong effect in microstrip transmission lines due to their inhomogeneity. Typically, as frequency is increased, $ \varepsilon_{r_{eff}}$ increases in a non-linear manner, approaching an asymptotic value. Dispersion affects characteristic impedance in a similar way.

Kirschning and Jansen

The dispersion formulae given by Kirschning and Jansen [20] is meant to have an accuracy better than 0.6% in the range $ 0.1 \le W/h \le 100$, $ 1\le \varepsilon_r \le 20$ and $ 0
\le h/\lambda_0 \le 0.13$, i.e. up to about $ 60\giga\hertz$ for $ 25\milli\meter$ substrates.

$\displaystyle \varepsilon_{r}(f) = \varepsilon_{r} - \frac{\varepsilon_{r} - \varepsilon_{r_{eff}}}{1 + P(f)}$ (11.26)

with

$\displaystyle P(f)$ $\displaystyle = P_{1} P_{2} \cdot\left(\left(0.1844 + P_{3} P_{4}\right) \cdot f_{n}\right)^{1.5763}$ (11.27)
$\displaystyle P_{1}$ $\displaystyle = 0.27488 + \left(0.6315 + \frac{0.525}{\left(1 + 0.0157\cdot f_{...
...}\right)\cdot \frac{W}{h} - 0.065683 \cdot \exp\left(-8.7513\dfrac{W}{h}\right)$ (11.28)
$\displaystyle P_{2}$ $\displaystyle = 0.33622\cdot \left(1 - \exp\left(-0.03442 \cdot \varepsilon_{r}\right)\right)$ (11.29)
$\displaystyle P_{3}$ $\displaystyle = 0.0363 \cdot \exp\left(-4.6\dfrac{W}{h}\right) \cdot \left(1 - \exp\left(- \left(\dfrac{f_{n}}{38.7}\right)^{4.97}\right)\right)$ (11.30)
$\displaystyle P_{4}$ $\displaystyle = 1 + 2.751 \cdot \left(1 - \exp\left(- \left(\frac{\varepsilon_{r}}{15.916}\right)^{8}\right)\right)$ (11.31)
$\displaystyle f_{n}$ $\displaystyle = f \cdot h =$   normalised frequency in $\displaystyle \left[\giga\hertz \cdot \milli\meter\right]$ (11.32)

Dispersion of the characteristic impedance according to [21] can be applied for the range $ 0 \le h/\lambda_0 \le
0.1$, $ 0.1 \le W/h \le 10$ and for substrates with $ 1 \le
\varepsilon_r \le 18$ and is is given by the following set of equations.

$\displaystyle R_1$ $\displaystyle = 0.03891\cdot \varepsilon_r^{1.4}$ (11.33)
$\displaystyle R_2$ $\displaystyle = 0.267\cdot u^{7.0}$ (11.34)
$\displaystyle R_3$ $\displaystyle = 4.766\cdot \exp{ \left(-3.228\cdot u^{0.641}\right)}$ (11.35)
$\displaystyle R_4$ $\displaystyle = 0.016 + \left(0.0514\cdot \varepsilon_r\right)^{4.524}$ (11.36)
$\displaystyle R_5$ $\displaystyle = \left(f_n / 28.843\right)^{12.0}$ (11.37)
$\displaystyle R_6$ $\displaystyle = 22.20\cdot u^{1.92}$ (11.38)

and

$\displaystyle R_7$ $\displaystyle = 1.206 - 0.3144\cdot \exp{\left(-R_1\right)}\cdot \left(1 - \exp{\left(-R_2\right)}\right)$ (11.39)
$\displaystyle R_8$ $\displaystyle = 1 + 1.275\cdot \left(1 - \exp{ \left(-0.004625\cdot R_3\cdot \varepsilon_r^{1.674}\right)} \cdot \left(f_n / 18.365\right)^{2.745}\right)$ (11.40)
$\displaystyle R_9$ $\displaystyle = 5.086\cdot \dfrac{R_4\cdot R_5}{0.3838 + 0.386\cdot R_4}\cdot \...
...\left(\varepsilon_r - 1\right)^6}{1 + 10\cdot \left(\varepsilon_r - 1\right)^6}$ (11.41)

and

$\displaystyle R_{10}$ $\displaystyle = 0.00044\cdot \varepsilon_r^{2.136} + 0.0184$ (11.42)
$\displaystyle R_{11}$ $\displaystyle = \dfrac{\left(f_n / 19.47\right)^6}{1 + 0.0962\cdot \left(f_n / 19.47\right)^6}$ (11.43)
$\displaystyle R_{12}$ $\displaystyle = \dfrac{1}{1 + 0.00245\cdot u^2}$ (11.44)
$\displaystyle R_{13}$ $\displaystyle = 0.9408\cdot \varepsilon_{r}(f)^{R_8} - 0.9603$ (11.45)
$\displaystyle R_{14}$ $\displaystyle = \left(0.9408 - R_9\right)\cdot \varepsilon_{r_{eff}}^{R_8} - 0.9603$ (11.46)
$\displaystyle R_{15}$ $\displaystyle = 0.707\cdot R_{10}\cdot \left(f_n / 12.3\right)^{1.097}$ (11.47)
$\displaystyle R_{16}$ $\displaystyle = 1 + 0.0503\cdot \varepsilon_r^2\cdot R_{11}\cdot \left(1 - \exp{ \left(- \left(u / 15\right)^6\right)}\right)$ (11.48)
$\displaystyle R_{17}$ $\displaystyle = R_7\cdot \left(1 - 1.1241\cdot \dfrac{R_{12}}{R_{16}}\cdot \exp{ \left(-0.026\cdot f_n^{1.15656} - R_{15}\right)}\right)$ (11.49)

Finally the frequency-dependent characteristic impedance can be written as

$\displaystyle Z_L(f_n) = Z_L(0)\cdot \left(\dfrac{R_{13}}{R_{14}}\right)^{R_{17}}$ (11.50)

The abbreviations used in these expressions are $ f_n$ for the normalized frequency as denoted in eq. (11.32) and $ u
= W/h$ for the microstrip width normalised with respect to the substrate height. The terms $ Z_L(0)$ and $ \varepsilon_{r_{eff}}$ denote the static values of microstrip characteristic impedance and effective dielectric constant. The value $ \varepsilon_{r}(f)$ is the frequency dependent effective dielectric constant computed according to [20].

R.H. Jansen and M. Kirschning remark in [21] for the implementation of the expressions on a computer, $ R_1$, $ R_2$ and $ R_6$ should be restricted to numerical values less or equal 20 in order to prevent overflow.

Yamashita

The values obtained by the approximate dispersion formula as given by E. Yamashita [22] deviate within 1% in a wide frequency range compared to the integral equation method used to derive the functional approximation. The formula assumes the knowledge of the quasi-static effective dielectric constant. The applicable ranges of the formula are $ 2 < \varepsilon_r < 16$, $ 0.06 < W/h < 16$ and $ 0.1\giga\hertz < f < 100\giga\hertz$. Though the lowest usable frequency is limited by $ 0.1\giga\hertz$, the propagation constant for frequencies less than $ 0.1\giga\hertz$ has been given as the quasi-static one.

$\displaystyle \varepsilon_{r}(f) = \varepsilon_{r_{eff}}\cdot \left(\frac{1 + \dfrac{1}{4}\cdot k\cdot F^{1.5}}{1 + \dfrac{1}{4}\cdot F^{1.5}}\right)^{2}$ (11.51)

with

$\displaystyle k$ $\displaystyle = \sqrt{\frac{\varepsilon_{r}}{\varepsilon_{r_{eff}}}}$ (11.52)
$\displaystyle F$ $\displaystyle = \frac{4\cdot h\cdot f\cdot \sqrt{\varepsilon_{r} - 1}}{c_{0}} \...
...left(0.5 + \left(1 + 2 \cdot \log\left(1 + \frac{W}{h}\right)\right)^{2}\right)$ (11.53)

Kobayashi

The dispersion formula presented by M. Kobayashi [23], derived by comparison to a numerical model, has a high degree of accuracy, better than 0.6% in the range $ 0.1 \le W/h \le 10$, $ 1 <
\varepsilon_r \le 128$ and any $ h/\lambda_0$ (no frequency limits).

$\displaystyle \varepsilon_{r}(f) = \varepsilon_{r} - \frac{\varepsilon_{r} - \varepsilon_{r_{eff}}}{1 + \left(\dfrac{f}{f_{50}}\right)^{m}}$ (11.54)

with

$\displaystyle f_{50}$ $\displaystyle = \frac{c_{0}}{2\pi\cdot h \cdot\left(0.75 + \left(0.75 - \dfrac{...
...\varepsilon_{r_{eff}}}}\right)}{\sqrt{\varepsilon_{r} - \varepsilon_{r_{eff}}}}$ (11.55)
$\displaystyle m$ $\displaystyle = m_{0}\cdot m_{c} \;\; (\le 2.32)$ (11.56)
$\displaystyle m_{0}$ $\displaystyle = 1 + \frac{1}{1 + \sqrt{\dfrac{W}{h}}} + 0.32\cdot\left(\frac{1}{1 + \sqrt{\dfrac{W}{h}}}\right)^{3}$ (11.57)
$\displaystyle m_{c}$ $\displaystyle = \begin{cases}\begin{array}{ll} 1 + \dfrac{1.4}{1 + \dfrac{W}{h}...
... for } W / h \le 0.7\\ 1 & \textrm{ for } W / h \ge 0.7 \end{array} \end{cases}$ (11.58)

Getsinger

Based upon measurements of dispersion curves for microstrip lines on alumina substrates 0.025 and 0.050 inch thick W. J. Getsinger [24] developed a very simple , closed-form expression that allow slide-rule prediction of microstrip dispersion.

$\displaystyle \varepsilon_{r}(f) = \varepsilon_{r} - \frac{\varepsilon_{r} - \varepsilon_{r_{eff}}}{1 + G\cdot \left(\dfrac{f}{f_{p}}\right)^{2}}$ (11.59)

with

$\displaystyle f_{p}$ $\displaystyle = \frac{Z_{L}}{2\mu_{0} h}$ (11.60)
$\displaystyle G$ $\displaystyle = 0.6 + 0.009\cdot Z_{L}$ (11.61)

Also based upon measurements of microstrip lines 0.1, 0.25 and 0.5 inch in width on a 0.250 inch thick alumina substrate Getsinger [25] developed two different dispersion models for the characteristic impedance.

Hammerstad and Jensen

The dispersion formulae of E. Hammerstad and Ø. Jensen [18] give good results for all types of substrates (not as limited as Getsinger's formulae). The impedance dispersion model is based upon a parallel-plate model using the theory of dielectrics.

$\displaystyle \varepsilon_{r}(f) = \varepsilon_{r} - \frac{\varepsilon_{r} - \varepsilon_{r_{eff}}}{1 + G\cdot \left(\dfrac{f}{f_{p}}\right)^{2}}$ (11.65)

with

$\displaystyle f_{p}$ $\displaystyle = \frac{Z_{L}}{2\mu_{0} h}$ (11.66)
$\displaystyle G$ $\displaystyle = \frac{\pi^{2}}{12}\cdot\frac{\varepsilon_{r} - 1}{\varepsilon_{r_{eff}}}\cdot\sqrt{\frac{2\pi\cdot Z_{L}}{Z_{F0}}}$ (11.67)

$\displaystyle Z_{L}(f) = Z_{L}\cdot\sqrt{\frac{\varepsilon_{r_{eff}}}{\varepsilon_{r}(f)}}\cdot\frac{\varepsilon_{r}(f) - 1}{\varepsilon_{r_{eff}} - 1}$ (11.68)

Edwards and Owens

The authors T. C. Edwards and R. P. Owens [27] developed a dispersion formula based upon measurements of microstrip lines on sapphire in the range $ 10\ohm \le Z_L \le 100\ohm$ and up to $ 18\giga\hertz$. The procedure was repeated for several microstrip width-to-substrate-height ratios ($ W/h$) between 0.1 and 10.

$\displaystyle \varepsilon_{r}(f) = \varepsilon_{r} - \dfrac{\varepsilon_{r} - \varepsilon_{r_{eff}}}{1 + P}$ (11.69)

with

$\displaystyle P = \left(\dfrac{h}{Z_{L}}\right)^{1.33}\cdot\left(0.43 f^2 - 0.009 f^3\right)$ (11.70)

where $ h$ is in millimeters and $ f$ is in gigahertz. Their new dispersion equation involving the polynomial, which was developed to predict the fine detail of the experimental $ \varepsilon_{r}(f)$ versus frequency curves, includes two empicical parameters. However, it seems the formula is not too sensitive to changes in substrate parameters.

Pramanick and Bhartia

P. Bhartia and P. Pramanick [28] developed dispersion equations without any empirical quantity. Their work expresses dispersion of the dielectric constant and characteristic impedance in terms of a single inflection frequency.

For the frequency-dependent relative dielectric constant they propose

$\displaystyle \varepsilon_{r}(f) = \varepsilon_{r} - \dfrac{\varepsilon_{r} - \varepsilon_{r_{eff}}}{1 + \left(\dfrac{f}{f_T}\right)^2}$ (11.71)

where

$\displaystyle f_T = \sqrt{\dfrac{\varepsilon_{r}}{\varepsilon_{r_{eff}}}}\cdot \dfrac{Z_L}{2\mu_0 h}$ (11.72)

Dispersion of the characteristic impedance is accounted by

$\displaystyle Z_L(f) = \dfrac{Z_{F0}\cdot h}{W_e(f)\cdot \sqrt{\varepsilon_r(f)}}$ (11.73)

whence

$\displaystyle W_e(f) = W + \dfrac{W_{eff} - W}{1 + \left(\dfrac{f}{f_T}\right)^...
...\;\;\;\; W_{eff} = \dfrac{Z_{F0}\cdot h}{Z_L\cdot \sqrt{\varepsilon_{r_{eff}}}}$ (11.74)

Schneider

Martin V. Schneider [29] proposed the following equation for the dispersion of the effective dielectric constant of a single microstrip line. The estimated error is less than 3%.

$\displaystyle \varepsilon_r(f) = \varepsilon_{r_{eff}}\cdot \left(\dfrac{1 + f_n^2}{1 + k\cdot f_n^2}\right)^2$ (11.75)

with

$\displaystyle f_n = \dfrac{4 h \cdot f \cdot \sqrt{\varepsilon_r - 1}}{c_0} \;\...
...\textrm{ and } \;\;\;\; k = \sqrt{\dfrac{\varepsilon_{r_{eff}}}{\varepsilon_r}}$ (11.76)

For the dispersion of the characteristic impedance he uses the same wave guide impedance model as Getsinger in his first approach to the problem.

$\displaystyle Z_L(f) = Z_L\cdot \sqrt{\dfrac{\varepsilon_{r_{eff}}}{\varepsilon_r(f)}}$ (11.77)

Transmission losses

The attenuation of a microstrip line consists of conductor (ohmic) losses, dielectric (substrate) losses, losses due to radiation and propagation of surface waves and higher order modes.

$\displaystyle \alpha = \alpha_c + \alpha_d + \alpha_r + \alpha_s$ (11.78)

Dielectric losses

Dielectric loss is due to the effects of finite loss tangent $ \tan{\delta_d}$. Basically the losses rise proportional over the operating frequency. For common microwave substrate materials like $ Al_2O_3$ ceramics with a loss tangent $ \delta_d$ less than $ 10^{-3}$ the dielectric losses can be neglected compared to the conductor losses.

For the inhomogeneous line, an effective dielectric filling fraction give that proportion of the transmission line's cross section not filled by air. For microstrip lines, the result is

$\displaystyle \alpha_d = \dfrac{\varepsilon_r}{\sqrt{\varepsilon_{r_{eff}}}}\cd...
..._{eff}} - 1}{\varepsilon_r - 1}\cdot \dfrac{\pi}{\lambda_0}\cdot \tan{\delta_d}$ (11.79)

whereas

$ \delta_d$ dielectric loss tangent

Conductor losses

E. Hammerstad and Ø. Jensen [18] proposed the following equation for the conductor losses. The surface roughness of the substrate is necessary to account for an asymptotic increase seen in the apparent surface resistance with decreasing skin depth. This effect is considered by the correction factor $ K_r$. The current distribution factor $ K_i$ is a very good approximation provided that the strip thickness exceeds three skin depths ( $ t > 3\delta$).

$\displaystyle \alpha_c = \dfrac{R^{\boxempty}}{Z_L \cdot W}\cdot K_r \cdot K_i$ (11.80)

with

$\displaystyle R^{\boxempty}$ $\displaystyle = \dfrac{\rho}{\delta} = \sqrt{\rho\cdot\dfrac{\omega \cdot \mu}{2}} = \sqrt{\rho\cdot\pi\cdot f \cdot \mu}$ (11.81)
$\displaystyle K_i$ $\displaystyle = \exp{\left(-1.2\left(\dfrac{Z_L}{Z_{F0}}\right)^{0.7}\right)}$ (11.82)
$\displaystyle K_r$ $\displaystyle = 1 + \dfrac{2}{\pi}\arctan{\left(1.4\left(\dfrac{\Delta}{\delta}\right)^2\right)}$ (11.83)

whereas

$ R^{\boxempty}$ sheet resistance of conductor material (skin resistance)
$ \rho$ specific resistance of conductor
$ \delta$ skin depth
$ K_i$ current distribution factor
$ K_r$ correction term due to surface roughness
$ \Delta$ effective (rms) surface roughness of substrate
$ Z_{F0}$ wave impedance in vacuum


This document was generated by Stefan Jahn on 2007-12-30 using latex2html.