Subsections

Bondwire

Wire inductors, so called bond wire connections, are used to connect active and passive circuit components as well as micro devices to the real world.

Figure 11.12: bond wire and its equivalent circuit
\includegraphics[width=13.5cm]{bondwire}

Freespace model

The freespace inductance $ L$ of a wire of diameter $ d$ and length $ l$ is given [46,47] by

$\displaystyle L = \dfrac{\mu_0}{2\pi} \cdot l \left[ \ln\left\{ \frac{2l}{d} + ...
...)^2} \right\} + \frac{d}{2l} - \sqrt{1+\left(\frac{d}{2l}\right)^2} + C \right]$ (11.235)

where the frequency-dependent correction factor $ C$ is a function of bond wire diameter and its material skin depth $ \delta$ is expressed as

$\displaystyle C = \dfrac{\mu_r}{4}\cdot \tanh\left( \dfrac{4\delta}{d} \right)$ (11.236)

$\displaystyle \delta = \dfrac{1}{\sqrt{\pi\cdot \sigma\cdot f\cdot \mu_0\cdot \mu_r}}$ (11.237)

where $ \sigma$ is the conductivity of the wire material. When $ \delta/d$ is small, $ C=\delta/d$. The wire resistance $ R$ is given by

$\displaystyle R = \dfrac{\rho\cdot l}{\pi\cdot r^2}$ (11.238)

with $ \rho = 1/\sigma$ and $ r=d/2$.

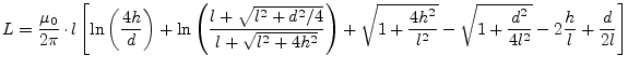
Mirror model

The effect of the ground plane on the inductance valueof a wire has also been considered. If the wire is at a distance $ h$ above the ground plane, it sees its image at $ 2h$ from it. The wire and its image result in a mutual inductance. Since the image wire carries a current opposite to the current flow in the bond wire, the effective inductance of the bond wire becomes

$\displaystyle L = \dfrac{\mu_0}{2\pi}\cdot l \left[ \ln\left( \dfrac{4h}{d} \ri...
...^2}{l^2}} - \sqrt{1+\dfrac{d^2}{4l^2}} - 2 \dfrac{h}{l} + \dfrac{d}{2l} \right]$ (11.239)

Mirror is a strange model that is frequency independent. Whereas computations are valid, hypothesis are arguable. Indeed, they did the assumption that the ground plane is perfect that is really a zero order model in the high frequency domain.


This document was generated by Stefan Jahn on 2007-12-30 using latex2html.