Subsections


N-port matrix conversions

When dealing with n-port parameters it may be necessary or convenient to convert them into other matrix representations used in electrical engineering. The following matrices and notations are used in the transformation equations.

$ \left[\underline{X}\right]^{-1}$ = inverted matrix of $ \left[\underline{X}\right]$
     
$ \left[\underline{X}\right]^{*}$ = complex conjugated matrix of $ \left[\underline{X}\right]$
     
$ \left[\underline{E}\right]$ = $ \begin{bmatrix}
1 & 0 & \ldots & 0\\
0 & 1 & \ldots & 0\\
\vdots & \vdots & \ddots & \vdots\\
0 & 0 & \ldots & 1\\
\end{bmatrix}$ identity matrix
     
$ \left[\underline{S}\right]$ = S-parameter matrix
     
$ \left[\underline{Z}\right]$ = impedance matrix
     
$ \left[\underline{Y}\right]$ = admittance matrix
     
$ \left[\underline{Z}_{ref}\right]$ = $ \begin{pmatrix}
\underline{Z}_{0,1} & 0 & \ldots & 0\\
0 & \underline{Z}_{0,2...
...dots & \ddots & \vdots\\
0 & 0 & \ldots & \underline{Z}_{0,N}\\
\end{pmatrix}$
     
$ \underline{Z}_{0,n}$ = reference impedance of port $ n$
     
$ \left[G_{ref}\right]$ = $ \begin{pmatrix}
G_1 & 0 & \ldots & 0\\
0 & G_2 & \ldots & 0\\
\vdots & \vdots & \ddots & \vdots\\
0 & 0 & \ldots & G_N\\
\end{pmatrix}$
     
$ G_n$ = $ \dfrac{1}{\sqrt{\text{Re}\left\vert\underline{Z}_{0,n}\right\vert}}$
     

Renormalization of S-parameters to different port impedances

During S-parameter usage it sometimes appears to have not all components in a circuit normalized to the same impedance. But calculations can only be performed with all ports being normalized to the same impedance. In the field of high frequency techniques this is usually $ 50\ohm$. In order to transform to different port impedances, the following computation must be applied to the resulting S-parameter matrix.

$\displaystyle \left[\underline{S'}\right] = \left[\underline{A}\right]^{-1} \cd...
...] \cdot \left[\underline{S}\right]\right)^{-1} \cdot \left[\underline{A}\right]$ (15.1)

With

$ Z_{n}$ = reference impedance of port $ n$ after the normalizing process
     
$ Z_{n,before}$ = reference impedance of port $ n$ before the normalizing process
     
$ \left[\underline{S}\right]$ = original S-parameter matrix
     
$ \left[\underline{S'}\right]$ = recalculated scattering matrix
     

$ \left[\underline{R}\right]$ = $ \begin{pmatrix}
\underline{r}\left(Z_{1}\right) & 0 & \ldots & 0\\
0 & \under...
...s & \vdots\\
0 & 0 & \ldots & \underline{r}\left(Z_{N}\right)\\
\end{pmatrix}$ reflection coefficient matrix
     
$ \underline{r}\left(Z_{n}\right)$ = $ \dfrac{Z_{n} - Z_{n,before}}{Z_{n} + Z_{n,before}}$
     
$ \left[\underline{A}\right]$ = $ \begin{pmatrix}
A_1 & 0 & \ldots & 0\\
0 & A_2 & \ldots & 0\\
\vdots & \vdots & \ddots & \vdots\\
0 & 0 & \ldots & A_N\\
\end{pmatrix}$
     
$ A_n$ = $ \sqrt{\dfrac{Z_n}{Z_{n,before}}}\cdot\dfrac{1}{Z_{n} + Z_{n,before}}$
     

Transformations of n-Port matrices

S-parameter, admittance and impedance matrices are not limited to One- or Two-Port definitions. They are defined for an arbitrary number of ports. The following section contains transformation formulas forth and back each matrix representation.

Converting a scattering parameter matrix to an impedance matrix is done by the following formula.

$\displaystyle \left[ \underline{Z} \right]$ $\displaystyle = \left[ \underline{G}_{ref} \right]^{-1} \cdot \left( \left[\und...
...\left[\underline{Z}_{ref}\right] \right) \cdot \left[\underline{G}_{ref}\right]$ (15.2)
  $\displaystyle = \left[ \underline{G}_{ref} \right]^{-1} \cdot \left( \left[\und...
...) \cdot \left[\underline{Z}_{ref}\right] \cdot \left[\underline{G}_{ref}\right]$ (15.3)

Converting a scattering parameter matrix to an admittance matrix can be achieved by computing the following formula.

$\displaystyle \left[ \underline{Y} \right]$ $\displaystyle = \left[ \underline{G}_{ref} \right]^{-1} \cdot \left( \left[\und...
...ht] - \left[\underline{S}\right] \right) \cdot \left[\underline{G}_{ref}\right]$ (15.4)
  $\displaystyle = \left[\underline{G}_{ref}\right]^{-1} \cdot \left[\underline{Z}...
...ht] - \left[\underline{S}\right] \right) \cdot \left[\underline{G}_{ref}\right]$ (15.5)

Converting an impedance matrix to a scattering parameter matrix is done by th following formula.

$\displaystyle \left[ \underline{S} \right] = \left[ \underline{G}_{ref} \right]...
...erline{Z}_{ref}\right] \right)^{-1} \cdot \left[\underline{G}_{ref}\right]^{-1}$ (15.6)

Converting an admittance matrix to a scattering parameter matrix is done by the following formula.

$\displaystyle \left[ \underline{S} \right] = \left[ \underline{G}_{ref} \right]...
...t[\underline{Y}\right] \right)^{-1} \cdot \left[\underline{G}_{ref}\right]^{-1}$ (15.7)

Converting an impedance matrix to an admittance matrix is done by the following simple formula.

$\displaystyle \left[ \underline{Y} \right] = \left[ \underline{Z} \right]^{-1}$ (15.8)

Converting an admittance matrix to an impedance matrix is done by the following simple formula.

$\displaystyle \left[ \underline{Z} \right] = \left[ \underline{Y} \right]^{-1}$ (15.9)

Two-Port transformations

Two-Port matrix conversion based on current and voltage

Figure 15.1: twoport definition using current and voltage
\includegraphics[height=3cm]{twoportiv}

There are five different matrix forms for the correlations between the quantities at the transmission twoport shown in fig. 15.1, each having its special meaning when connecting twoports with each other.

\fbox{\begin{minipage}[t]{0.22\linewidth}
\centering
parallel-parallel connection\\
\includegraphics[height=2.5cm]{twoportpp}
\end{minipage}}
series-series connection
\includegraphics[height=2.5cm]{twoportss}
series-parallel connection
\includegraphics[height=2.5cm]{twoportps}
parallel-series connection
\includegraphics[height=2.5cm]{twoportsp}
\fbox{\begin{minipage}[t]{0.85\linewidth}
\centering
cascaded twoports\\
\includegraphics[height=1.3cm]{twoportch}
\end{minipage}}

Basically there are five different kinds of twoport connections. Using the corresponding twoport matrix representations, complicated networks can be analysed by connecting elementary twoports. The linear correlations between the complex currents and voltages rms values of a twoport are described by four complex twoport parameters (i.e. the twoport matrix). These parameters are used to describe the AC behaviour of the twoport.

  A Y Z H G
A \begin{displaymath}\begin{array}{cc}A_{11}&A_{12}\vspace{4pt}\\ A_{21}&A_{22}\end{array}\end{displaymath} \fbox{\makebox[0.15\linewidth ][c]{$\begin{array}{cc}\dfrac{-Y_{22}}{Y_{21}}&\df...
...}}\vspace{4pt}\\ \dfrac{-\Delta Y}{Y_{21}}&\dfrac{-Y_{11}}{Y_{21}}\end{array}$}} \begin{displaymath}\begin{array}{cc}\dfrac{Z_{11}}{Z_{21}}&\dfrac{\Delta Z}{Z_{2...
...pace{4pt}\\ \dfrac{1}{Z_{21}}&\dfrac{Z_{22}}{Z_{21}}\end{array}\end{displaymath} \begin{displaymath}\begin{array}{cc}\dfrac{-\Delta H}{H_{21}}&\dfrac{-H_{11}}{H_...
...ce{4pt}\\ \dfrac{-H_{22}}{H_{21}}&\dfrac{-1}{H_{21}}\end{array}\end{displaymath} \begin{displaymath}\begin{array}{cc}\dfrac{1}{G_{21}}&\dfrac{G_{22}}{G_{21}}\vsp...
...t}\\ \dfrac{G_{11}}{G_{21}}&\dfrac{\Delta G}{G_{21}}\end{array}\end{displaymath}
Y \fbox{\makebox[0.15\linewidth ][c]{$\begin{array}{cc}\dfrac{A_{22}}{A_{12}}&\dfr...
...A}{A_{12}}\vspace{4pt}\\ \dfrac{-1}{A_{12}}&\dfrac{A_{11}}{A_{12}}\end{array}$}} \begin{displaymath}\begin{array}{cc}Y_{11}&Y_{12}\vspace{4pt}\\ Y_{21}&Y_{22}\end{array}\end{displaymath} \begin{displaymath}\begin{array}{cc}\dfrac{Z_{22}}{\Delta Z}&\dfrac{-Z_{12}}{\De...
...\ \dfrac{-Z_{21}}{\Delta Z}&\dfrac{Z_{11}}{\Delta Z}\end{array}\end{displaymath} \begin{displaymath}\begin{array}{cc}\dfrac{1}{H_{11}}&\dfrac{-H_{12}}{H_{11}}\vs...
...t}\\ \dfrac{H_{21}}{H_{11}}&\dfrac{\Delta H}{H_{11}}\end{array}\end{displaymath} \begin{displaymath}\begin{array}{cc}\dfrac{\Delta G}{G_{22}}&\dfrac{G_{12}}{G_{2...
...ace{4pt}\\ \dfrac{-G_{21}}{G_{22}}&\dfrac{1}{G_{22}}\end{array}\end{displaymath}
Z \fbox{\makebox[0.15\linewidth ][c]{$\begin{array}{cc}\dfrac{A_{11}}{A_{21}}&\dfr...
... A}{A_{21}}\vspace{4pt}\\ \dfrac{1}{A_{21}}&\dfrac{A_{22}}{A_{21}}\end{array}$}} \begin{displaymath}\begin{array}{cc}\dfrac{Y_{22}}{\Delta Y}&\dfrac{-Y_{12}}{\De...
...\ \dfrac{-Y_{21}}{\Delta Y}&\dfrac{Y_{11}}{\Delta Y}\end{array}\end{displaymath} \begin{displaymath}\begin{array}{cc}Z_{11}&Z_{12}\vspace{4pt}\\ Z_{21}&Z_{22}\end{array}\end{displaymath} \begin{displaymath}\begin{array}{cc}\dfrac{\Delta H}{H_{22}}&\dfrac{H_{12}}{H_{2...
...ace{4pt}\\ \dfrac{-H_{21}}{H_{22}}&\dfrac{1}{H_{22}}\end{array}\end{displaymath} \begin{displaymath}\begin{array}{cc}\dfrac{1}{G_{11}}&\dfrac{-G_{12}}{G_{11}}\vs...
...t}\\ \dfrac{G_{21}}{G_{11}}&\dfrac{\Delta G}{G_{11}}\end{array}\end{displaymath}
H \fbox{\makebox[0.15\linewidth ][c]{$\begin{array}{cc}\dfrac{A_{12}}{A_{22}}&\dfr...
...A}{A_{22}}\vspace{4pt}\\ \dfrac{-1}{A_{22}}&\dfrac{A_{21}}{A_{22}}\end{array}$}} \begin{displaymath}\begin{array}{cc}\dfrac{1}{Y_{11}}&\dfrac{-Y_{12}}{Y_{11}}\vs...
...t}\\ \dfrac{Y_{21}}{Y_{11}}&\dfrac{\Delta Y}{Y_{11}}\end{array}\end{displaymath} \begin{displaymath}\begin{array}{cc}\dfrac{\Delta Z}{Z_{22}}&\dfrac{Z_{12}}{Z_{2...
...ace{4pt}\\ \dfrac{-Z_{21}}{Z_{22}}&\dfrac{1}{Z_{22}}\end{array}\end{displaymath} \begin{displaymath}\begin{array}{cc}H_{11}&H_{12}\vspace{4pt}\\ H_{21}&H_{22}\end{array}\end{displaymath} \begin{displaymath}\begin{array}{cc}\dfrac{G_{22}}{\Delta G}&\dfrac{-G_{12}}{\De...
...\ \dfrac{-G_{21}}{\Delta G}&\dfrac{G_{11}}{\Delta G}\end{array}\end{displaymath}
G \fbox{\makebox[0.15\linewidth ][c]{$\begin{array}{cc}\dfrac{A_{21}}{A_{11}}&\dfr...
... A}{A_{11}}\vspace{4pt}\\ \dfrac{1}{A_{11}}&\dfrac{A_{12}}{A_{11}}\end{array}$}} \begin{displaymath}\begin{array}{cc}\dfrac{\Delta Y}{Y_{22}}&\dfrac{Y_{12}}{Y_{2...
...ace{4pt}\\ \dfrac{-Y_{21}}{Y_{22}}&\dfrac{1}{Y_{22}}\end{array}\end{displaymath} \begin{displaymath}\begin{array}{cc}\dfrac{1}{Z_{11}}&\dfrac{-Z_{12}}{Z_{11}}\vs...
...t}\\ \dfrac{Z_{21}}{Z_{11}}&\dfrac{\Delta Z}{Z_{11}}\end{array}\end{displaymath} \begin{displaymath}\begin{array}{cc}\dfrac{H_{22}}{\Delta H}&\dfrac{-H_{12}}{\De...
...\ \dfrac{-H_{21}}{\Delta H}&\dfrac{H_{11}}{\Delta H}\end{array}\end{displaymath} \begin{displaymath}\begin{array}{cc}G_{11}&G_{12}\vspace{4pt}\\ G_{21}&G_{22}\end{array}\end{displaymath}

Two-Port matrix conversion based on signal waves

Figure 15.2: twoport definition using signal waves
\includegraphics[height=3cm]{twoportab}

There are two different matrix forms for the correlations between the quantities at the transmission twoport shown in fig. 15.2.

When connecting cascaded twoports it is possible to compute the resulting transfer scattering parameters by the following equation.

$\displaystyle T = T_1 \cdot T_2$ (15.17)

According to Janusz A. Dobrowolski [59] the following table contains the matrix transformation formulas.

  S T
S \begin{displaymath}\begin{array}{cc}S_{11}&S_{12}\vspace{4pt}\\ S_{21}&S_{22}\end{array}\end{displaymath} \fbox{$\begin{array}{cc}\dfrac{T_{12}}{T_{22}}&\dfrac{\Delta T}{T_{22}}\vspace{4pt}\\ \dfrac{1}{T_{22}}&\dfrac{-T_{21}}{T_{22}}\end{array}$}
T \fbox{$\begin{array}{cc}\dfrac{-\Delta S}{S_{21}}&\dfrac{S_{11}}{S_{21}}\vspace{4pt}\\ \dfrac{-S_{22}}{S_{21}}&\dfrac{1}{S_{21}}\end{array}$} \begin{displaymath}\begin{array}{cc}T_{11}&T_{12}\vspace{4pt}\\ T_{21}&T_{22}\end{array}\end{displaymath}

Mixed Two-Port matrix conversions

Sometimes it may be useful to have a twoport matrix representation based on signal waves in a representation based on voltage and current and the other way around. There are two more parameters involved in this case: The reference impedance at port 1 (denoted as $ Z_1$) and the reference impedance at port 2 (denoted as $ Z_2$).

Converting from scattering parameters to chain parameters results in

$\displaystyle A_{11}$ $\displaystyle = \dfrac{Z_{1}^{*} + Z_{1}\cdot S_{11} - Z_{1}^{*}\cdot S_{22} - ...
...ta S}{2\cdot S_{21}\cdot \sqrt{Re\left(Z_{1}\right)\cdot Re\left(Z_{2}\right)}}$ (15.18)
$\displaystyle A_{12}$ $\displaystyle = \dfrac{Z_{1}^{*}\cdot Z_{2}^{*} + Z_{1}\cdot Z_{2}^{*}\cdot S_{...
...ta S}{2\cdot S_{21}\cdot \sqrt{Re\left(Z_{1}\right)\cdot Re\left(Z_{2}\right)}}$ (15.19)
$\displaystyle A_{21}$ $\displaystyle = \dfrac{1 - S_{11} - S_{22} + \Delta S}{2\cdot S_{21}\cdot \sqrt{Re\left(Z_{1}\right)\cdot Re\left(Z_{2}\right)}}$ (15.20)
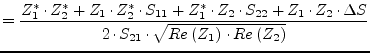
$\displaystyle A_{22}$ $\displaystyle = \dfrac{Z_{2}^{*} - Z_{2}^{*}\cdot S_{11} + Z_{2}\cdot S_{22} - ...
...ta S}{2\cdot S_{21}\cdot \sqrt{Re\left(Z_{1}\right)\cdot Re\left(Z_{2}\right)}}$ (15.21)

Converting from chain parameters to scattering parameters results in


$\displaystyle S_{11}$ $\displaystyle = \dfrac{A_{11}\cdot Z_{2} + A_{12} - A_{21}\cdot Z_{1}^{*}\cdot ...
...{A_{11}\cdot Z_{2} + A_{12} + A_{21}\cdot Z_{1}\cdot Z_{2} + A_{22}\cdot Z_{1}}$ (15.22)
$\displaystyle S_{12}$ $\displaystyle = \dfrac{\Delta A\cdot 2\cdot \sqrt{Re\left(Z_{1}\right)\cdot Re\...
...{A_{11}\cdot Z_{2} + A_{12} + A_{21}\cdot Z_{1}\cdot Z_{2} + A_{22}\cdot Z_{1}}$ (15.23)
$\displaystyle S_{21}$ $\displaystyle = \dfrac{2\cdot \sqrt{Re\left(Z_{1}\right)\cdot Re\left(Z_{2}\rig...
...{A_{11}\cdot Z_{2} + A_{12} + A_{21}\cdot Z_{1}\cdot Z_{2} + A_{22}\cdot Z_{1}}$ (15.24)
$\displaystyle S_{22}$ $\displaystyle = \dfrac{-A_{11}\cdot Z_{2}^{*} + A_{12} - A_{21}\cdot Z_{1}\cdot...
...{A_{11}\cdot Z_{2} + A_{12} + A_{21}\cdot Z_{1}\cdot Z_{2} + A_{22}\cdot Z_{1}}$ (15.25)

Converting from scattering parameters to hybrid parameters results in

$\displaystyle H_{11}$ $\displaystyle = Z_{1}\cdot \dfrac{\left(1 + S_{11}\right)\cdot \left(1 + S_{22}...
...21}}{\left(1 - S_{11}\right)\cdot \left(1 + S_{22}\right) + S_{12}\cdot S_{21}}$ (15.26)
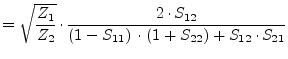
$\displaystyle H_{12}$ $\displaystyle = \sqrt{\dfrac{Z_1}{Z_2}}\cdot \dfrac{2\cdot S_{12}}{\left(1 - S_{11}\right)\cdot \left(1 + S_{22}\right) + S_{12}\cdot S_{21}}$ (15.27)
$\displaystyle H_{21}$ $\displaystyle = \sqrt{\dfrac{Z_1}{Z_2}}\cdot \dfrac{-2\cdot S_{21}}{\left(1 - S_{11}\right)\cdot \left(1 + S_{22}\right) + S_{12}\cdot S_{21}}$ (15.28)
$\displaystyle H_{22}$ $\displaystyle = \dfrac{1}{Z_{2}}\cdot \dfrac{\left(1 - S_{11}\right)\cdot \left...
...21}}{\left(1 - S_{11}\right)\cdot \left(1 + S_{22}\right) + S_{12}\cdot S_{21}}$ (15.29)

Converting from hybrid parameters to scattering parameters results in


$\displaystyle S_{11}$ $\displaystyle = \dfrac{\left(H_{11} - Z_{1}\right)\cdot \left(1 + Z_{2}\cdot H_...
...}\right)\cdot \left(1 + Z_{2}\cdot H_{22}\right) - Z_2\cdot H_{12}\cdot H_{21}}$ (15.30)
$\displaystyle S_{12}$ $\displaystyle = \dfrac{2\cdot H_{12}\cdot\sqrt{Z_1\cdot Z_2}}{\left(H_{11} + Z_{1}\right)\cdot \left(1 + Z_{2}\cdot H_{22}\right) - Z_2\cdot H_{12}\cdot H_{21}}$ (15.31)
$\displaystyle S_{21}$ $\displaystyle = \dfrac{-2\cdot H_{21}\cdot\sqrt{Z_1\cdot Z_2}}{\left(H_{11} + Z_{1}\right)\cdot \left(1 + Z_{2}\cdot H_{22}\right) - Z_2\cdot H_{12}\cdot H_{21}}$ (15.32)
$\displaystyle S_{22}$ $\displaystyle = \dfrac{\left(H_{11} + Z_{1}\right)\cdot \left(1 - Z_{2}\cdot H_...
...}\right)\cdot \left(1 + Z_{2}\cdot H_{22}\right) - Z_2\cdot H_{12}\cdot H_{21}}$ (15.33)

Converting from scattering parameters to the second type of hybrid parameters results in

$\displaystyle G_{11}$ $\displaystyle = \dfrac{1}{Z_{1}}\cdot \dfrac{\left(1 - S_{11}\right)\cdot \left...
...21}}{\left(1 + S_{11}\right)\cdot \left(1 - S_{22}\right) + S_{12}\cdot S_{21}}$ (15.34)
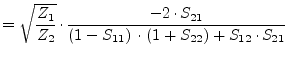
$\displaystyle G_{12}$ $\displaystyle = \sqrt{\dfrac{Z_2}{Z_1}}\cdot \dfrac{-2\cdot S_{12}}{\left(1 + S_{11}\right)\cdot \left(1 - S_{22}\right) + S_{12}\cdot S_{21}}$ (15.35)
$\displaystyle G_{21}$ $\displaystyle = \sqrt{\dfrac{Z_2}{Z_1}}\cdot \dfrac{2\cdot S_{21}}{\left(1 + S_{11}\right)\cdot \left(1 - S_{22}\right) + S_{12}\cdot S_{21}}$ (15.36)
$\displaystyle G_{22}$ $\displaystyle = Z_{2}\cdot \dfrac{\left(1 + S_{11}\right)\cdot \left(1 + S_{22}...
...21}}{\left(1 + S_{11}\right)\cdot \left(1 - S_{22}\right) + S_{12}\cdot S_{21}}$ (15.37)

Converting from the second type of hybrid parameters to scattering parameters results in


$\displaystyle S_{11}$ $\displaystyle = \dfrac{\left(1 - G_{11}\cdot Z_{1}\right)\cdot \left(G_{22} + Z...
...ot Z_{1}\right)\cdot \left(G_{22} + Z_{2}\right) - Z_1\cdot G_{12}\cdot G_{21}}$ (15.38)
$\displaystyle S_{12}$ $\displaystyle = \dfrac{-2\cdot G_{12}\cdot\sqrt{Z_1\cdot Z_2}}{\left(1 + G_{11}...
...ot Z_{1}\right)\cdot \left(G_{22} + Z_{2}\right) - Z_1\cdot G_{12}\cdot G_{21}}$ (15.39)
$\displaystyle S_{21}$ $\displaystyle = \dfrac{2\cdot G_{21}\cdot\sqrt{Z_1\cdot Z_2}}{\left(1 + G_{11} \cdot Z_{1}\right)\cdot \left(G_{22} + Z_{2}\right) - Z_1\cdot G_{12}\cdot G_{21}}$ (15.40)
$\displaystyle S_{22}$ $\displaystyle = \dfrac{\left(1 + G_{11} \cdot Z_{1}\right)\cdot \left(G_{22} - ...
...ot Z_{1}\right)\cdot \left(G_{22} + Z_{2}\right) - Z_1\cdot G_{12}\cdot G_{21}}$ (15.41)

Converting from scattering parameters to Y-parameters results in

$\displaystyle Y_{11}$ $\displaystyle = \dfrac{1}{Z_{1}}\cdot \dfrac{\left(1 - S_{11}\right)\cdot \left...
...21}}{\left(1 + S_{11}\right)\cdot \left(1 + S_{22}\right) - S_{12}\cdot S_{21}}$ (15.42)
$\displaystyle Y_{12}$ $\displaystyle = \sqrt{\dfrac{1}{Z_{1}\cdot Z_{2}}}\cdot \dfrac{-2\cdot S_{12}}{\left(1 + S_{11}\right)\cdot \left(1 + S_{22}\right) - S_{12}\cdot S_{21}}$ (15.43)
$\displaystyle Y_{21}$ $\displaystyle = \sqrt{\dfrac{1}{Z_{1}\cdot Z_{2}}}\cdot \dfrac{-2\cdot S_{21}}{\left(1 + S_{11}\right)\cdot \left(1 + S_{22}\right) - S_{12}\cdot S_{21}}$ (15.44)
$\displaystyle Y_{22}$ $\displaystyle = \dfrac{1}{Z_{2}}\cdot \dfrac{\left(1 + S_{11}\right)\cdot \left...
...21}}{\left(1 + S_{11}\right)\cdot \left(1 + S_{22}\right) - S_{12}\cdot S_{21}}$ (15.45)

Converting from Y-parameters to scattering parameters results in


$\displaystyle S_{11}$ $\displaystyle = \dfrac{\left(1 - Y_{11}\cdot Z_{1}\right)\cdot \left(1 + Y_{22}...
... \left(1 + Y_{22}\cdot Z_{2}\right) - Y_{12}\cdot Z_{1}\cdot Y_{21}\cdot Z_{2}}$ (15.46)
$\displaystyle S_{12}$ $\displaystyle = \dfrac{-2\cdot Y_{12}\cdot \sqrt{Z_{1}\cdot Z_{2}}}{\left(1 + Y...
... \left(1 + Y_{22}\cdot Z_{2}\right) - Y_{12}\cdot Z_{1}\cdot Y_{21}\cdot Z_{2}}$ (15.47)
$\displaystyle S_{21}$ $\displaystyle = \dfrac{-2\cdot Y_{21}\cdot \sqrt{Z_{1}\cdot Z_{2}}}{\left(1 + Y...
... \left(1 + Y_{22}\cdot Z_{2}\right) - Y_{12}\cdot Z_{1}\cdot Y_{21}\cdot Z_{2}}$ (15.48)
$\displaystyle S_{22}$ $\displaystyle = \dfrac{\left(1 + Y_{11}\cdot Z_{1}\right)\cdot \left(1 - Y_{22}...
... \left(1 + Y_{22}\cdot Z_{2}\right) - Y_{12}\cdot Z_{1}\cdot Y_{21}\cdot Z_{2}}$ (15.49)

Converting from scattering parameters to Z-parameters results in

$\displaystyle Z_{11}$ $\displaystyle = Z_{1}\cdot \dfrac{\left(1 + S_{11}\right)\cdot \left(1 - S_{22}...
...21}}{\left(1 - S_{11}\right)\cdot \left(1 - S_{22}\right) - S_{12}\cdot S_{21}}$ (15.50)
$\displaystyle Z_{12}$ $\displaystyle = \dfrac{2\cdot S_{12}\cdot \sqrt{Z_{1}\cdot Z_{2}}}{\left(1 - S_{11}\right)\cdot \left(1 - S_{22}\right) - S_{12}\cdot S_{21}}$ (15.51)
$\displaystyle Z_{21}$ $\displaystyle = \dfrac{2\cdot S_{21}\cdot \sqrt{Z_{1}\cdot Z_{2}}}{\left(1 - S_{11}\right)\cdot \left(1 - S_{22}\right) - S_{12}\cdot S_{21}}$ (15.52)
$\displaystyle Z_{22}$ $\displaystyle = Z_{2}\cdot \dfrac{\left(1 - S_{11}\right)\cdot \left(1 + S_{22}...
...21}}{\left(1 - S_{11}\right)\cdot \left(1 - S_{22}\right) - S_{12}\cdot S_{21}}$ (15.53)

Converting from Z-parameters to scattering parameters results in


$\displaystyle S_{11}$ $\displaystyle = \dfrac{\left(Z_{11} - Z_{1}\right)\cdot \left(Z_{22} + Z_{2}\ri...
...ft(Z_{11} + Z_{1}\right)\cdot \left(Z_{22} + Z_{2}\right) - Z_{12}\cdot Z_{21}}$ (15.54)
$\displaystyle S_{12}$ $\displaystyle = \sqrt{\dfrac{Z_2}{Z_1}}\cdot \dfrac{2\cdot Z_{12}\cdot Z_{1}}{\left(Z_{11} + Z_{1}\right)\cdot \left(Z_{22} + Z_{2}\right) - Z_{12}\cdot Z_{21}}$ (15.55)
$\displaystyle S_{21}$ $\displaystyle = \sqrt{\dfrac{Z_1}{Z_2}}\cdot \dfrac{2\cdot Z_{21}\cdot Z_{2}}{\left(Z_{11} + Z_{1}\right)\cdot \left(Z_{22} + Z_{2}\right) - Z_{12}\cdot Z_{21}}$ (15.56)
$\displaystyle S_{22}$ $\displaystyle = \dfrac{\left(Z_{11} + Z_{1}\right)\cdot \left(Z_{22} - Z_{2}\ri...
...ft(Z_{11} + Z_{1}\right)\cdot \left(Z_{22} + Z_{2}\right) - Z_{12}\cdot Z_{21}}$ (15.57)

Two-Port parameters of passive devices

Basically the twoport parameters of passive twoports can be determined using Kirchhoff's voltage law and Kirchhoff's current law or by applying the definition equations of the twoport parameters. This has been done [60] for some example circuits.


This document was generated by Stefan Jahn on 2007-12-30 using latex2html.