Subsections

MOS Field-Effect Transistor

Figure 10.16: vertical section of integrated MOSFET
\includegraphics[width=0.78\linewidth]{mosphysical}

Figure 10.17: four types of MOS field effect transistors and their symbols
\includegraphics[width=0.95\linewidth]{mostypes}

There are four different types of MOS field effect transistors as shown in fig. 10.17 all covered by the model going to be explained here. The ``First Order Model'' is a physical model with the drain current equations according to Harold Shichman and David A. Hodges [13].

The following table contains the model and device parameters for the MOSFET level 1.

Name Symbol Description Unit Default Typical
           
Is $ I_{S}$ bulk junction saturation current $ \ampere$ $ 10^{-14}$ $ 10^{-15}$
N $ N$ bulk junction emission coefficient   $ 1.0$  
Vt0 $ V_{T0}$ zero-bias threshold voltage $ \volt$ $ 0.0$ $ 0.7$
Lambda $ \lambda$ channel-length modulation parameter $ 1/\volt$ $ 0.0$ $ 0.02$
Kp $ K_P$ transconductance coefficient $ \ampere/\volt^2$ $ 2\cdot 10^{-5}$ $ 6\cdot 10^{-5}$
Gamma $ \gamma$ bulk threshold $ \sqrt{\volt}$ $ 0.0$ $ 0.37$
Phi $ \Phi$ surface potential $ \volt$ $ 0.6$ $ 0.65$
Rd $ R_D$ drain ohmic resistance $ \ohm$ $ 0.0$ $ 1.0$
Rs $ R_S$ source ohmic resistance $ \ohm$ $ 0.0$ $ 1.0$
Rg $ R_G$ gate ohmic resistance $ \ohm$ $ 0.0$  
L $ L$ channel length $ \meter$ $ 100\micro$  
Ld $ L_D$ lateral diffusion length $ \meter$ $ 0.0$ $ 10^{-7}$
W $ W$ channel width $ \meter$ $ 100\micro$  
Tox $ T_{OX}$ oxide thickness $ \meter$ $ 0.1\micro$ $ 2\cdot 10^{-8}$
Cgso $ C_{GSO}$ gate-source overlap capacitance per meter of channel width $ \farad/\meter$ $ 0.0$ $ 4\cdot 10^{-11}$
Cgdo $ C_{GDO}$ gate-drain overlap capacitance per meter of channel width $ \farad/\meter$ $ 0.0$ $ 4\cdot 10^{-11}$
Cgbo $ C_{GBO}$ gate-bulk overlap capacitance per meter of channel length $ \farad/\meter$ $ 0.0$ $ 2\cdot 10^{-10}$
Cbd $ C_{BD}$ zero-bias bulk-drain junction capacitance $ \farad$ $ 0.0$ $ 6\cdot 10^{-17}$
Cbs $ C_{BS}$ zero-bias bulk-source junction capacitance $ \farad$ $ 0.0$ $ 6\cdot 10^{-17}$
Pb $ \Phi_{B}$ bulk junction potential $ \volt$ $ 0.8$ $ 0.87$
Mj $ M_J$ bulk junction bottom grading coefficient   $ 0.5$ $ 0.5$
Fc $ F_C$ bulk junction forward-bias depletion capacitance coefficient   $ 0.5$  
Cjsw $ C_{JSW}$ zero-bias bulk junction periphery capacitance per meter of junction perimeter $ \farad/\meter$ $ 0.0$  
Mjsw $ M_{JSW}$ bulk junction periphery grading coefficient   $ 0.33$ $ 0.33$
Tt $ T_{T}$ bulk transit time $ \second$ $ 0.0$  
Kf $ K_{F}$ flicker noise coefficient   $ 0.0$  
Af $ A_{F}$ flicker noise exponent   $ 1.0$  
Ffe $ F_{FE}$ flicker noise frequency exponent   $ 1.0$  
Nsub $ N_{SUB}$ substrate (bulk) doping density $ 1/\centi\meter^3$ $ 0.0$ $ 4\cdot 10^{15}$
Nss $ N_{SS}$ surface state density $ 1/\centi\meter^2$ $ 0.0$ $ 10^{10}$
Tpg $ T_{PG}$ gate material type (0 = alumina, -1 = same as bulk, 1 = opposite to bulk)   $ 1$  
Uo $ \mu_{0}$ surface mobility $ \centi\meter^2/\volt\second$ $ 600.0$ $ 400.0$
Rsh $ R_{SH}$ drain and source diffusion sheet resistance $ \ohm/$square $ 0.0$ $ 10.0$
Nrd $ N_{RD}$ number of equivalent drain squares   $ 1$  
Nrs $ N_{RS}$ number of equivalent source squares   $ 1$  
Cj $ C_{J}$ zero-bias bulk junction bottom capacitance per square meter of junction area $ \farad/\meter^2$ $ 0.0$ $ 2\cdot 10^{-4}$
Js $ J_{S}$ bulk junction saturation current per square meter of junction area $ \ampere/\meter^2$ $ 0.0$ $ 10^{-8}$
Ad $ A_{D}$ drain diffusion area $ \meter^2$ $ 0.0$  
As $ A_{S}$ source diffusion area $ \meter^2$ $ 0.0$  
Pd $ P_{D}$ drain junction perimeter $ \meter$ $ 0.0$  
Ps $ P_{S}$ source junction perimeter $ \meter$ $ 0.0$  
Temp $ T$ device temperature $ \degree \mathrm{C}$ $ 26.85$  
Tnom $ T_{NOM}$ parameter measurement temperature $ \degree \mathrm{C}$ $ 26.85$  

Large signal model

Figure 10.18: n-channel MOSFET large signal model
\includegraphics[width=0.6\linewidth]{mosfet}

Beforehand some useful abbreviation are made to simplify the DC current equations.

$\displaystyle L_{eff}$ $\displaystyle = L - 2\cdot L_D$ (10.167)
$\displaystyle \beta$ $\displaystyle = K_P\cdot \dfrac{W}{L_{eff}}$ (10.168)

The bias-dependent threshold voltage depends on the bulk-source voltage $ V_{BS}$ or the bulk-drain voltage $ V_{BD}$ depending on the mode of operation.

$\displaystyle V_{Th} = V_{T0} + \begin{cases}\begin{array}{ll} \gamma\cdot\left...
...xtrm{ for } V_{DS} < 0, \textrm{ i.e. } V_{BD} > V_{BS} \end{array} \end{cases}$ (10.169)

The following equations describe the DC current behaviour of a N-channel MOSFET in normal mode, i.e. $ V_{DS} > 0$, according to Shichman and Hodges.

with

$\displaystyle g_{ds} = \dfrac{\partial I_d}{\partial V_{DS}} \;\;\;\; \textrm{ ...
...\;\;\;\; \textrm{ and } \;\;\;\; g_{mb} = \dfrac{\partial I_d}{\partial V_{BS}}$ (10.182)

In the inverse mode of operation, i.e. $ V_{DS} < 0$, the same equations can be applied with the following modifications. Replace $ V_{BS}$ with $ V_{BD}$, $ V_{GS}$ with $ V_{GD}$ and $ V_{DS}$ with $ -V_{DS}$. The drain current $ I_d$ gets reversed. Furthermore the transconductances alter their controlling nodes, i.e.

$\displaystyle g_{m} = \dfrac{\partial I_d}{\partial V_{GD}} \;\;\;\; \textrm{ and } \;\;\;\; g_{mb} = \dfrac{\partial I_d}{\partial V_{BD}}$ (10.183)

The current equations of the two parasitic diodes at the bulk node and their derivatives write as follows.

$\displaystyle I_{BD}$ $\displaystyle = I_{SD}\cdot \left(e^{\frac{V_{BD}}{N\cdot V_T}} - 1\right)$ $\displaystyle g_{bd}$ $\displaystyle = \dfrac{\partial I_{BD}}{\partial V_{BD}} = \dfrac{I_{SD}}{N\cdot V_T}\cdot e^{\frac{V_{BD}}{N\cdot V_T}}$ (10.184)
$\displaystyle I_{BS}$ $\displaystyle = I_{SS}\cdot \left(e^{\frac{V_{BS}}{N\cdot V_T}} - 1\right)$ $\displaystyle g_{bs}$ $\displaystyle = \dfrac{\partial I_{BS}}{\partial V_{BS}} = \dfrac{I_{SS}}{N\cdot V_T}\cdot e^{\frac{V_{BS}}{N\cdot V_T}}$ (10.185)

with

$\displaystyle I_{SD} = I_S \;\;\;\; \textrm{ and } \;\;\;\; I_{SS} = I_S$ (10.186)

Figure 10.19: accompanied DC model of intrinsic MOSFET
\includegraphics[width=0.7\linewidth]{dcmosfet}

With the accompanied DC model shown in fig. 10.19 it is possible to form the MNA matrix and the current vector of the intrinsic MOSFET device.

$\displaystyle \begin{bmatrix}0 & 0 & 0 & 0\\ g_{m} & g_{ds} + g_{bd} & -g_{ds} ...
...{eq}}\\ +I_{BS_{eq}} + I_{DS_{eq}}\\ -I_{BD_{eq}} - I_{BS_{eq}}\\ \end{bmatrix}$ (10.187)

$\displaystyle I_{BD_{eq}}$ $\displaystyle = I_{BD} - g_{bd} \cdot V_{BD}$ (10.188)
$\displaystyle I_{BS_{eq}}$ $\displaystyle = I_{BS} - g_{bs} \cdot V_{BS}$ (10.189)
$\displaystyle I_{DS_{eq}}$ $\displaystyle = I_{d} - g_{m} \cdot V_{GS} - g_{mb} \cdot V_{BS} - g_{ds}\cdot V_{DS}$ (10.190)

Physical model

There are electrical parameters as well as physical and geometry parameters in the set of model parameters for the MOSFETs ``First Order Model''. Some of the electrical parameters can be derived from the geometry and physical parameters.

The oxide capacitance per square meter of the channel area can be computed as

$\displaystyle C'_{ox} = \varepsilon_0\cdot\dfrac{\varepsilon_{ox}}{T_{ox}} \;\;\;\; \textrm{ with } \;\;\;\; \varepsilon_{ox} = \varepsilon_{SiO_2} = 3.9$ (10.191)

Then the overall oxide capacitance can be written as

$\displaystyle C_{ox} = C'_{ox}\cdot W \cdot L_{eff}$ (10.192)

The transconductance coefficient $ K_P$ can be calculated using

$\displaystyle K_P = \mu_0\cdot C'_{ox}$ (10.193)

The surface potential $ \Phi$ is given by (with temperature voltage $ V_T$)

$\displaystyle \Phi = 2\cdot V_T\cdot \ln{\left(\dfrac{N_{SUB}}{n_i}\right)} \;\;\;\; \textrm{ with the intrinsic density } \; n_i = 1.45\cdot 10^{16} 1/\meter^3$ (10.194)

Equation (10.194) holds for acceptor concentrations $ N_A$ ($ N_{SUB}$) essentially greater than the donor concentration $ N_D$. The bulk threshold $ \gamma$ (also sometimes called the body effect coefficient) is

$\displaystyle \gamma = \dfrac{\sqrt{2\cdot e\cdot \varepsilon_{Si}\cdot \vareps...
...ot N_{SUB}}}{C'_{ox}} \;\;\;\; \textrm{ with } \;\;\;\; \varepsilon_{Si} = 11.7$ (10.195)

And finally the zero-bias threshold voltage $ V_{T0}$ writes as follows.

$\displaystyle V_{T0} = V_{FB} + \Phi + \gamma\cdot\sqrt{\Phi}$ (10.196)

Whereas $ V_{FB}$ denotes the flat band voltage consisting of the work function difference $ \Phi_{MS}$ between the gate and substrate material and an additional potential due to the oxide surface charge.

$\displaystyle V_{FB} = \Phi_{MS} - \dfrac{e\cdot N_{SS}}{C'_{ox}}$ (10.197)

The temperature dependent bandgap potential $ E_{G}$ of silicon (substrate material Si) writes as follows. With $ T = 290\kelvin$ the bandgap is approximately $ 1.12eV$.

$\displaystyle E_{G}\left(T\right) = 1.16 - \dfrac{7.02\cdot 10^{-4}\cdot T^2}{T + 1108}$ (10.198)

The work function difference $ \Phi_{MS}$ gets computed dependent on the gate conductor material. This can be either alumina ( $ \Phi_{M} =
4.1eV$), n-polysilicon ( $ \Phi_{M} \approx 4.15eV$) or p-polysilicon ( $ \Phi_{M} \approx 5.27eV$). The work function of a semiconductor, which is the energy difference between the vacuum level and the Fermi level (see fig. 10.20), varies with the doping concentration.

$\displaystyle \Phi_{MS} = \Phi_{M} - \Phi_{S} = \Phi_{M} - \left(4.15 + \dfrac{1}{2}E_{G} + \dfrac{1}{2}\Phi\right)$ (10.199)

$\displaystyle \Phi_{M} = \begin{cases}\begin{array}{ll} 4.1 & \textrm{ for } T_...
...xtrm{ for } T_{PG} = -1, \textrm{ i.e. same as bulk }\\ \end{array} \end{cases}$ (10.200)

Figure 10.20: energy band diagrams of isolated (flat band) MOS materials
\includegraphics[width=0.95\linewidth]{mosband}

The expression in eq. (10.199) is visualized in fig. 10.20. The abbreviations denote

$ \chi_{Al}$ electron affinity of alumina $ = 4.1eV$
$ \chi_{Si}$ electron affinity of silicon $ = 4.15eV$
$ E_0$ vacuum level
$ E_C$ conduction band
$ E_V$ valence band
$ E_F$ Fermi level
$ E_I$ intrinsic Fermi level
$ E_G$ bandgap of silicon $ \approx 1.12eV$ at room temperature

Please note that the potential $ 1/2\cdot \Phi$ is positive in p-MOS and negative in n-MOS as the following equation reveals.

$\displaystyle \Phi_F = \dfrac{E_F - E_I}{e}$ (10.201)

When the gate conductor material is a heavily doped polycrystalline silicon (also called polysilicon) then the model assumes that the Fermi level of this semiconductor is the same as the conduction band (for n-poly) or the valence band (for p-poly). In alumina the Fermi level, valence and conduction band all equal the electron affinity.

If the zero-bias bulk junction bottom capacitance per square meter of junction area $ C_J$ is not given it can be computed as follows.

$\displaystyle C_J = \sqrt{\dfrac{\varepsilon_{Si}\cdot \varepsilon_{0}\cdot e\cdot N_{SUB}}{2\cdot \Phi_B}}$ (10.202)

That's it for the physical parameters. The geometry parameters account for the electrical parameters per length, area or volume. Thus the MOS model is scalable.

The diffusion resistances at drain and gate are computed as follows. The sheet resistance $ R_{SH}$ refers to the thickness of the diffusion area.

$\displaystyle R_D = N_{RD}\cdot R_{SH} \;\;\;\; \textrm{ and } \;\;\;\; R_S = N_{RS}\cdot R_{SH}$ (10.203)

If the bulk junction saturation current per square meter of the junction area $ J_S$ and the drain and source areas are given the according saturation currents are calculated with the following equations.

$\displaystyle I_{SD} = A_{D}\cdot J_{S} \;\;\;\; \textrm{ and } \;\;\;\; I_{SS} = A_{S}\cdot J_{S}$ (10.204)

If the parameters $ C_{BD}$ and $ C_{BS}$ are not given the zero-bias depletion capacitances for the bottom and sidewall capacitances are computed as follows.

$\displaystyle C_{BD}$ $\displaystyle = C_{J}\cdot A_D$ (10.205)
$\displaystyle C_{BS}$ $\displaystyle = C_{J}\cdot A_S$ (10.206)
$\displaystyle C_{BDS}$ $\displaystyle = C_{JSW}\cdot P_D$ (10.207)
$\displaystyle C_{BSS}$ $\displaystyle = C_{JSW}\cdot P_S$ (10.208)


Small signal model

Figure 10.21: small signal model of intrinsic MOSFET
\includegraphics[width=0.7\linewidth]{spmosfet}

The bulk-drain and bulk-source capacitances in the MOSFET model split into three parts: the junctions depletion capacitance which consists of an area and a sidewall part and the diffusion capacitance.

$\displaystyle C_{BD_{dep}}$ $\displaystyle = \begin{cases}\begin{array}{ll} C_{BD}\cdot \left(1 - \dfrac{V_{...
...)}\right) & \textrm{ for } V_{BD} > F_{C}\cdot \Phi_{B} \end{array} \end{cases}$ (10.209)
$\displaystyle C_{BDS_{dep}}$ $\displaystyle = \begin{cases}\begin{array}{ll} C_{BDS}\cdot \left(1 - \dfrac{V_...
...)}\right) & \textrm{ for } V_{BD} > F_{C}\cdot \Phi_{B} \end{array} \end{cases}$ (10.210)
$\displaystyle C_{BS_{dep}}$ $\displaystyle = \begin{cases}\begin{array}{ll} C_{BS}\cdot \left(1 - \dfrac{V_{...
...)}\right) & \textrm{ for } V_{BS} > F_{C}\cdot \Phi_{B} \end{array} \end{cases}$ (10.211)
$\displaystyle C_{BSS_{dep}}$ $\displaystyle = \begin{cases}\begin{array}{ll} C_{BSS}\cdot \left(1 - \dfrac{V_...
...)}\right) & \textrm{ for } V_{BS} > F_{C}\cdot \Phi_{B} \end{array} \end{cases}$ (10.212)

The diffusion capacitances of the bulk-drain and bulk-source junctions are determined by the transit time of the minority charges through the junction.

$\displaystyle C_{BD_{diff}}$ $\displaystyle = g_{bd}\cdot T_T$ (10.213)
$\displaystyle C_{BS_{diff}}$ $\displaystyle = g_{bs}\cdot T_T$ (10.214)

Charge storage in the MOSFET consists of capacitances associated with parasitics and the intrinsic device. Parasitic capacitances consist of three constant overlap capacitances. The intrinsic capacitances consist of the nonlinear thin-oxide capacitance, which is distributed among the gate, drain, source and bulk regions. The MOS gate capacitances, as a nonlinear function of the terminal voltages, are modeled by J.E. Meyer's piece-wise linear model [15].

The bias-dependent gate-oxide capacitances distribute according to the Meyer model [15] as follows.

with

$\displaystyle V_{Dsat} = \begin{cases}\begin{array}{ll} V_{GS} - V_{Th} & \textrm{ for } V_{GS} - V_{Th} > 0\\ 0 & \textrm{ otherwise } \end{array} \end{cases}$ (10.230)

In the inverse mode of operation $ V_{GS}$ and $ V_{GD}$ need to be exchanged, $ V_{DS}$ changes its sign, then the above formulas can be applied as well.

The constance overlap capacitances compute as follows.

$\displaystyle C_{GS_{OVL}}$ $\displaystyle = C_{GSO}\cdot W$ (10.231)
$\displaystyle C_{GD_{OVL}}$ $\displaystyle = C_{GDO}\cdot W$ (10.232)
$\displaystyle C_{GB_{OVL}}$ $\displaystyle = C_{GBO}\cdot L_{eff}$ (10.233)

With these definitions it is possible to form the small signal Y-parameter matrix of the intrinsic MOSFET device in an operating point which can be converted into S-parameters.

$\displaystyle Y = \begin{bmatrix}\parbox[t]{2.0cm}{\centering $Y_{GS} + Y_{GD} ...
...g_{mb}\\ -Y_{GB} & -Y_{BD} & -Y_{BS} & Y_{BD} + Y_{BS} + Y_{GB}\\ \end{bmatrix}$ (10.234)

with

$\displaystyle Y_{GS}$ $\displaystyle = j\omega \left(C_{GS} + C_{GS_{OVL}}\right)$ (10.235)
$\displaystyle Y_{GD}$ $\displaystyle = j\omega \left(C_{GD} + C_{GD_{OVL}}\right)$ (10.236)
$\displaystyle Y_{GB}$ $\displaystyle = j\omega \left(C_{GB} + C_{GB_{OVL}}\right)$ (10.237)
$\displaystyle Y_{BD}$ $\displaystyle = g_{bd} + j\omega \left(C_{BD_{dep}} + C_{BDS_{dep}} + C_{BD_{diff}}\right)$ (10.238)
$\displaystyle Y_{BS}$ $\displaystyle = g_{bs} + j\omega \left(C_{BS_{dep}} + C_{BSS_{dep}} + C_{BS_{diff}}\right)$ (10.239)
$\displaystyle Y_{DS}$ $\displaystyle = g_{ds}$ (10.240)

Noise model

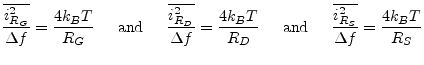
The thermal noise generated by the external resistors $ R_G$, $ R_S$ and $ R_D$ is characterized by the following spectral density.

$\displaystyle \dfrac{\overline{i_{R_G}^2}}{\Delta f} = \dfrac{4 k_B T}{R_G} \;\...
...m{ and } \;\;\;\; \dfrac{\overline{i_{R_S}^2}}{\Delta f} = \dfrac{4 k_B T}{R_S}$ (10.241)

Figure 10.22: noise model of intrinsic MOSFET
\includegraphics[width=0.73\linewidth]{noisemosfet}

Channel and flicker noise generated by the DC transconductance $ g_m$ and current flow from drain to source is characterized by the spectral density

$\displaystyle \dfrac{\overline{i_{ds}^2}}{\Delta f} = \dfrac{8 k_B T g_m}{3} + K_F\dfrac{I_{DS}^{A_F}}{f^{F_{FE}}}$ (10.242)

The noise current correlation matrix (admittance representation) of the intrinsic MOSFET can be expressed as

$\displaystyle \underline{C}_Y = \Delta f \begin{bmatrix}0 & 0 & 0 & 0\\ 0 & +\o...
...-\overline{i_{ds}^2} & +\overline{i_{ds}^2} & 0\\ 0 & 0 & 0 & 0\\ \end{bmatrix}$ (10.243)

This matrix representation can be easily converted to the noise-wave representation $ \underline{C}_S$ if the small signal S-parameter matrix is known.

Temperature model

Temperature affects some MOS model parameters which are updated according to the new temperature. The reference temperature $ T_1$ in the following equations denotes the nominal temperature $ T_{NOM}$ specified by the MOS transistor model. The temperature dependence of $ K_P$ and $ \mu_0$ is determined by

$\displaystyle K_P\left(T_2\right)$ $\displaystyle = K_P\left(T_1\right)\cdot \left(\dfrac{T_1}{T_2}\right)^{1.5}$ (10.244)
$\displaystyle \mu_0\left(T_2\right)$ $\displaystyle = \mu_0\left(T_1\right)\cdot \left(\dfrac{T_1}{T_2}\right)^{1.5}$ (10.245)

The effect of temperature on $ \Phi_B$ and $ \Phi$ is modeled by

$\displaystyle \Phi\left(T_2\right)$ $\displaystyle = \dfrac{T_2}{T_1}\cdot \Phi\left(T_1\right) - \dfrac{2\cdot k_B\...
...- \left(\dfrac{T_2}{T_1} \cdot E_G\left(T_1\right) - E_G\left(T_2\right)\right)$ (10.246)

where the $ E_G\left(T\right)$ dependency has already been described in section 10.2.4 on page [*]. The temperature dependence of $ C_{BD}$, $ C_{BS}$, $ C_{J}$ and $ C_{JSW}$ is described by the following relations

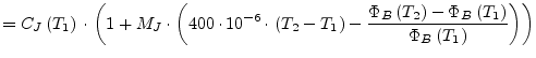
$\displaystyle C_{BD}\left(T_2\right)$ $\displaystyle = C_{BD}\left(T_1\right)\cdot\left(1 + M_J\cdot\left(400\cdot 10^...
...left(T_2\right) - \Phi_B\left(T_1\right)}{\Phi_B\left(T_1\right)}\right)\right)$ (10.247)
$\displaystyle C_{BS}\left(T_2\right)$ $\displaystyle = C_{BS}\left(T_1\right)\cdot\left(1 + M_J\cdot\left(400\cdot 10^...
...left(T_2\right) - \Phi_B\left(T_1\right)}{\Phi_B\left(T_1\right)}\right)\right)$ (10.248)
$\displaystyle C_{J}\left(T_2\right)$ $\displaystyle = C_{J}\left(T_1\right)\cdot\left(1 + M_J\cdot\left(400\cdot 10^{...
...left(T_2\right) - \Phi_B\left(T_1\right)}{\Phi_B\left(T_1\right)}\right)\right)$ (10.249)
$\displaystyle C_{JSW}\left(T_2\right)$ $\displaystyle = C_{JSW}\left(T_1\right)\cdot\left(1 + M_{JSW}\cdot\left(400\cdo...
...left(T_2\right) - \Phi_B\left(T_1\right)}{\Phi_B\left(T_1\right)}\right)\right)$ (10.250)

The temperature dependence of $ I_S$ is given by the relation

$\displaystyle I_S\left(T_2\right)$ $\displaystyle = I_S\left(T_1\right)\cdot \exp{\left[-\dfrac{e}{k_B\cdot T_2}\cd...
...(\dfrac{T_2}{T_1}\cdot E_G\left(T_1\right) - E_G\left(T_2\right)\right)\right]}$ (10.251)

An analogue dependence holds for $ J_S$.


This document was generated by Stefan Jahn on 2007-12-30 using latex2html.