Subsections

Parallel coupled microstrip lines

Figure 11.5: parallel coupled microstrip lines
\includegraphics[width=12cm]{mscoupledphys}

Characteristic impedance and effective dielectric constant

Parallel coupled microstrip lines are defined by the characteristic impedance and the effective permittivity of the even and the odd mode. The y- and S-parameters are depicted in section 9.22.

Kirschning and Jansen

These quantities can very precisely be modeled by the following equations [31], [32].

Beforehand some normalised quantities (with microstrip line width $ W$, spacing $ s$ between the lines and substrate height $ h$) are introduced:

$\displaystyle u = \dfrac{W}{h} \quad,\quad g = \dfrac{s}{h} \quad,\quad f_n = \dfrac{f}{\giga\hertz}\cdot\dfrac{h}{\milli\meter} = \dfrac{f}{\mega\hertz}\cdot h$ (11.89)

The applicability of the described model is

$\displaystyle 0.1\le u\le 10 \qquad,\qquad 0.1\le g\le 10 \qquad,\qquad 1\le \varepsilon_r\le 18$ (11.90)

The accuracies of the formulas holds for these ranges.

Static effective permittivity of even mode:

$\displaystyle \varepsilon_{eff,e}(0) = 0.5\cdot (\varepsilon_r+1) + 0.5\cdot (\...
...+\dfrac{10}{v} \right) ^{-a_e\left(v\right)\cdot b_e\left(\varepsilon_r\right)}$ (11.91)

with

$\displaystyle v$ $\displaystyle = u\cdot\frac{20+g^2}{10+g^2} + g\cdot\exp{\left(-g\right)}$ (11.92)
$\displaystyle a_e\left(v\right)$ $\displaystyle = 1 + \frac{1}{49}\cdot\ln\left( \frac{v^4 + \left( v/52 \right)^...
...ht) + \frac{1}{18.7}\cdot\ln\left( 1 + \left( \dfrac{v}{18.1} \right)^3 \right)$ (11.93)
$\displaystyle b_e\left(\varepsilon_r\right)$ $\displaystyle = 0.564\cdot\left( \frac{\varepsilon_r-0.9}{\varepsilon_r+3} \right)^{0.053}$ (11.94)

Static effective permittivity of odd mode:

$\displaystyle \varepsilon_{eff,o}(0) = \left(0.5\cdot \left(\varepsilon_r+1\rig...
...f}(0) \right) \cdot \exp{\left(-c_o\cdot g^{d_o}\right)} + \varepsilon_{eff}(0)$ (11.95)

with

$\displaystyle a_o\left(u,\varepsilon_r\right)$ $\displaystyle = 0.7287\cdot\left( \varepsilon_{eff}(0) - 0.5\cdot \left( \varepsilon_r + 1\right) \right) \cdot \left(1-\exp{\left(-0.179\cdot u\right)}\right)$ (11.96)
$\displaystyle b_o\left(\varepsilon_r\right)$ $\displaystyle = 0.747\cdot\dfrac{\varepsilon_r}{0.15+\varepsilon_r}$ (11.97)
$\displaystyle c_o$ $\displaystyle = b_o(\varepsilon_r) - \left(b_o\left(\varepsilon_r\right)-0.207\right)\cdot\exp{\left(-0.414\cdot u\right)}$ (11.98)
$\displaystyle d_o$ $\displaystyle = 0.593+0.694\cdot\exp{\left(-0.562\cdot u\right)}$ (11.99)

whence $ \varepsilon_{eff}(0)$ refers to the zero-thickness single microstrip line of width $ W$ according to [18] (see also eq. (11.15)).

The dispersion formulae for the odd and even mode write as follows.

$\displaystyle \varepsilon_{eff,e,o}\left(f_n\right) = \varepsilon_r - \dfrac{\varepsilon_r - \varepsilon_{eff,e,o}(0)}{1+F_{e,o}\left(f_n\right)}$ (11.100)

The frequency dependence for the even mode is

$\displaystyle F_e\left(f_n\right) = P_1\cdot P_2\cdot \left(\left(P_3\cdot P_4 + 0.1844\cdot P_7\right)\cdot f_n\right)^{1.5763}$ (11.101)

with

$\displaystyle P_1$ $\displaystyle = 0.27488 + \left( 0.6315 + \dfrac{0.525}{(1+0.0157\cdot f_n)^{20}} \right) \cdot u -0.065683\cdot\exp{\left(-8.7513\cdot u\right)}$ (11.102)
$\displaystyle P_2$ $\displaystyle = 0.33622\cdot \left(1-\exp{\left(-0.03442\cdot\varepsilon_r\right)}\right)$ (11.103)
$\displaystyle P_3$ $\displaystyle = 0.0363\cdot\exp{\left(-4.6\cdot u\right)}\cdot\left( 1-\exp\left( -\left( f_n / 38.7\right) ^{4.97} \right) \right)$ (11.104)
$\displaystyle P_4$ $\displaystyle = 1 + 2.751\cdot\left( 1-\exp\left( -\left( \varepsilon_r/15.916\right) ^8 \right) \right)$ (11.105)
$\displaystyle P_5$ $\displaystyle = 0.334\cdot\exp\left( -3.3\cdot\left( \varepsilon_r/15\right) ^3 \right) + 0.746$ (11.106)
$\displaystyle P_6$ $\displaystyle = P_5\cdot\exp\left( -\left( f_n/18\right) ^{0.368} \right)$ (11.107)
$\displaystyle P_7$ $\displaystyle = 1 + 4.069\cdot P_6 \cdot g^{0.479}\cdot\exp\left(-1.347\cdot g^{0.595} - 0.17\cdot g^{2.5} \right)$ (11.108)

The frequency dependence for the odd mode is

$\displaystyle F_o\left(f_n\right) = P_1\cdot P_2\cdot \left(\left(P_3\cdot P_4 + 0.1844\right)\cdot f_n\cdot P_{15}\right)^{1.5763}$ (11.109)

with

$\displaystyle P_8$ $\displaystyle = 0.7168\cdot \left(1 + \frac{1.076}{1+0.0576\cdot \left(\varepsilon_r-1\right)} \right)$ (11.110)
$\displaystyle P_9$ $\displaystyle = P_8 - 0.7913\cdot\left( 1-\exp\left( -\left( f_n/20\right) ^{1....
...ht) \cdot\arctan\left( 2.481\cdot\left( \varepsilon_r/8\right) ^{0.946} \right)$ (11.111)
$\displaystyle P_{10}$ $\displaystyle = 0.242\cdot \left(\varepsilon_r-1\right)^{0.55}$ (11.112)
$\displaystyle P_{11}$ $\displaystyle = 0.6366\cdot \left(\exp\left(-0.3401\cdot f_n\right)-1\right) \cdot \arctan\left(1.263\cdot\left( u/3 \right) ^{1.629} \right)$ (11.113)
$\displaystyle P_{12}$ $\displaystyle = P_9 + \dfrac{1-P_9}{1+1.183\cdot u^{1.376}}$ (11.114)
$\displaystyle P_{13}$ $\displaystyle = 1.695\cdot \dfrac{P_{10}}{0.414+1.605\cdot P_{10}}$ (11.115)
$\displaystyle P_{14}$ $\displaystyle = 0.8928 + 0.1072\cdot \left( 1-\exp\left(-0.42\cdot\left( f_n/20 \right) ^{3.215} \right)\right)$ (11.116)
$\displaystyle P_{15}$ $\displaystyle = \left\vert 1 - 0.8928\cdot \left(1+P_{11}\right) \cdot \exp\left(-P_{13}\cdot g^{1.092}\right)\cdot P_{12}/P_{14} \right\vert$ (11.117)

Up to $ f_n=25$ the maximum error of these equations is 1.4%.

The static characteristic impedance for the even mode writes as follows.

$\displaystyle Z_{L,e}(0) = \sqrt{\dfrac{\varepsilon_{eff}(0)}{\varepsilon_{eff,...
..._L(0)}{1 - \dfrac{Z_L(0)}{377\ohm} \cdot \sqrt{\varepsilon_{eff}(0)} \cdot Q_4}$ (11.118)

with

$\displaystyle Q_1$ $\displaystyle = 0.8695\cdot u^{0.194}$ (11.119)
$\displaystyle Q_2$ $\displaystyle = 1 + 0.7519\cdot g + 0.189\cdot g^{2.31}$ (11.120)
$\displaystyle Q_3$ $\displaystyle = 0.1975 + \left( 16.6 + \left( 8.4/g \right) ^6 \right) ^{-0.387...
...rac{1}{241} \cdot \ln\left( \dfrac{g^{10}}{1+\left( g/3.4\right) ^{10}} \right)$ (11.121)
$\displaystyle Q_4$ $\displaystyle = \frac{Q_1}{Q_2}\cdot \frac{2}{ \exp\left(-g\right)\cdot u^{Q_3} + (2-\exp\left(-g\right))\cdot u^{-Q_3} }$ (11.122)

with $ Z_L(0)$ and $ \varepsilon_{eff}(0)$ being again quantities for a zero-thickness single microstrip line of width $ W$ according to [18] (see also eq. (11.15) and (11.5)).

The static characteristic impedance for the odd mode writes as follows.

$\displaystyle Z_{L,o}(0) = \sqrt{\dfrac{\varepsilon_{eff}(0)}{\varepsilon_{eff,...
...}{1 - \dfrac{Z_L(0)}{377\Omega} \cdot \sqrt{\varepsilon_{eff}(0)} \cdot Q_{10}}$ (11.123)

with

$\displaystyle Q_5$ $\displaystyle = 1.794 +1.14\cdot\ln\left( 1 + \frac{0.638}{g+0.517\cdot g^{2.43}} \right)$ (11.124)
$\displaystyle Q_6$ $\displaystyle = 0.2305 + \frac{1}{281.3}\cdot \ln\left( \frac{g^{10}}{1+\left( ...
...ght) ^{10}} \right) + \frac{1}{5.1}\cdot \ln\left(1+0.598\cdot g^{1.154}\right)$ (11.125)
$\displaystyle Q_7$ $\displaystyle = \frac{10+190\cdot g^2}{1+82.3\cdot g^3}$ (11.126)
$\displaystyle Q_8$ $\displaystyle = \exp\left( -6.5 - 0.95\cdot\ln\left(g\right) - \left(g/0.15\right)^5 \right)$ (11.127)
$\displaystyle Q_9$ $\displaystyle = \ln\left(Q_7\right)\cdot \left( Q_8 + 1/16.5 \right)$ (11.128)
$\displaystyle Q_{10}$ $\displaystyle = \frac{Q_2\cdot Q_4 - Q_5\cdot\exp\left( \ln\left(u\right)\cdot Q_6\cdot u^{-Q_9} \right)}{Q_2} = Q_4 - \frac{Q_5}{Q_2}\cdot u^{Q_6\cdot u^{-Q_9}}$ (11.129)

The accuracy of the static impedances is better than 0.6%.

Dispersion of the characteristic impedance for the even mode can be modeled by the following equations.

$\displaystyle Z_{L,e}(f_n) = Z_{L,e}(0)\cdot \left( \dfrac{0.9408\cdot (\vareps...
..._e\right)\cdot \left(\varepsilon_{eff}(0)\right)^{C_e} - 0.9603} \right) ^{Q_0}$ (11.130)

with

\begin{displaymath}\begin{split}C_e = 1 + 1.275\cdot \left( 1-\exp\left( -0.0046...
...ght) \right)\\ - Q_{12}+Q_{16}-Q_{17}+Q_{18}+Q_{20} \end{split}\end{displaymath} (11.131)

$\displaystyle d_e$ $\displaystyle = 5.086\cdot q_e\cdot\dfrac{r_e}{0.3838+0.386\cdot q_e}\cdot \dfr...
...992\cdot r_e}\cdot \dfrac{(\varepsilon_r-1)^6}{1 + 10\cdot (\varepsilon_r-1)^6}$ (11.132)
$\displaystyle p_e$ $\displaystyle = 4.766\cdot \exp \left(-3.228\cdot u^{0.641}\right)$ (11.133)
$\displaystyle q_e$ $\displaystyle = 0.016 + \left(0.0514\cdot \varepsilon_r\cdot Q_{21}\right)^{4.524}$ (11.134)
$\displaystyle r_e$ $\displaystyle = \left( f_n/28.843 \right) ^{12}$ (11.135)

and

$\displaystyle Q_{11}$ $\displaystyle = 0.893\cdot \left( 1 - \frac{0.3}{1+0.7\cdot\left(\varepsilon_r-1\right)} \right)$ (11.136)
$\displaystyle Q_{12}$ $\displaystyle = 2.121\cdot \frac{\left( f_n/20\right) ^{4.91}} {1+Q_{11}\cdot\left( f_n/20\right) ^{4.91}} \cdot \exp\left(-2.87\cdot g\right)\cdot g^{0.902}$ (11.137)
$\displaystyle Q_{13}$ $\displaystyle = 1 + 0.038\cdot \left( \varepsilon_r/8 \right) ^{5.1}$ (11.138)
$\displaystyle Q_{14}$ $\displaystyle = 1 + 1.203\cdot \dfrac{ \left( \varepsilon_r/15 \right) ^4} {1 + \cdot \left( \varepsilon_r/15 \right) ^4}$ (11.139)
$\displaystyle Q_{15}$ $\displaystyle = \dfrac{ 1.887\cdot \exp\left(-1.5\cdot g^{0.84}\right)\cdot g^{...
... \left( f_n/15 \right) ^3 \cdot \dfrac{u^{2/Q_{13}}}{0.125 + u^{1.626/Q_{13}}}}$ (11.140)
$\displaystyle Q_{16}$ $\displaystyle = Q_{15}\cdot \left( 1 + \frac{9}{1+0.403\cdot \left(\varepsilon_r-1\right)^2} \right)$ (11.141)
$\displaystyle Q_{17}$ $\displaystyle = 0.394\cdot \left( 1-\exp\left( -1.47\cdot\left( u/7 \right) ^{0...
...t) \cdot \left( 1-\exp\left( -4.25\left( f_n/20 \right) ^{1.87} \right) \right)$ (11.142)
$\displaystyle Q_{18}$ $\displaystyle = 0.61\cdot\frac{1-\exp\left( -2.13\cdot\left( u/8 \right) ^{1.593} \right)} {1+6.544\cdot g^{4.17}}$ (11.143)
$\displaystyle Q_{19}$ $\displaystyle = \frac{ 0.21\cdot g^4 }{\left(1+0.18\cdot g^{4.9}\right)\cdot \left(1+0.1\cdot u^2\right) \cdot \left( 1+\left( f_n/24 \right) ^3 \right)}$ (11.144)
$\displaystyle Q_{20}$ $\displaystyle = Q_{19}\cdot \left( 0.09 + \frac{1}{1+0.1\cdot \left(\varepsilon_r-1\right)^{2.7}} \right)$ (11.145)
$\displaystyle Q_{21}$ $\displaystyle = \left\vert 1-42.54\cdot g^{0.133}\cdot \exp\left(-0.812\cdot g\right) \cdot\frac{u^{2.5}}{1+0.033\cdot u^{2.5}} \right\vert$ (11.146)

With $ \varepsilon_{eff}(f_n)$ being the single microstrip effective dielectric constant according to [20] (see eq. (11.26)) and $ Q_0$ single microstrip impedance dispersion according to [21] (there denoted as $ R_{17}$, see eq. (11.49)).

Dispersion of the characteristic impedance for the odd mode can be modeled by the following equations.

$\displaystyle Z_{L,o}(f_n) = Z_L(f_n) + \dfrac{ Z_{L,o}(0)\cdot \left( \dfrac{\...
... Z_L(f_n)\cdot Q_{23} }{ 1+Q_{24}+\left(0.46\cdot g\right)^{2.2} \cdot Q_{25} }$ (11.147)

with

$\displaystyle Q_{22}$ $\displaystyle = 0.925\cdot \frac{ \left( f_n/Q_{26} \right) ^{1.536} } { 1+0.3\cdot \left( f_n/30 \right)^{1.536} }$ (11.148)
$\displaystyle Q_{23}$ $\displaystyle = 1+ \frac{ 0.005\cdot f_n\cdot Q_{27} } { \left( 1+0.812\cdot\left( f_n/15 \right) ^{1.9} \right) \cdot \left(1 + 0.025\cdot u^2\right) }$ (11.149)
$\displaystyle Q_{24}$ $\displaystyle = \frac{2.506\cdot Q_{28}\cdot u^{0.894}}{3.575+u^{0.894}} \cdot \left( \frac{ (1+1.3\cdot u)\cdot f_n}{99.25} \right)^{4.29}$ (11.150)
$\displaystyle Q_{25}$ $\displaystyle = \frac{0.3\cdot f_n^2}{10+f_n^2}\cdot \left( 1+ \frac{2.333\cdot \left(\varepsilon_r-1\right)^2}{5+\left(\varepsilon_r-1\right)^2} \right)$ (11.151)
$\displaystyle Q_{26}$ $\displaystyle = 30 - \frac{ 22.2\cdot \left( \dfrac{\varepsilon_r-1}{13} \right)^{12} } { 1+ 3\cdot \left( \dfrac{\varepsilon_r-1}{13} \right)^{12} } - Q_{29}$ (11.152)
$\displaystyle Q_{27}$ $\displaystyle = 0.4\cdot g^{0.84}\cdot \left( 1+ \frac{2.5\cdot \left(\varepsilon_r-1\right)^{1.5}}{5+\left(\varepsilon_r-1\right)^{1.5}} \right)$ (11.153)
$\displaystyle Q_{28}$ $\displaystyle = 0.149\cdot \frac{\left(\varepsilon_r-1\right)^3}{94.5+0.038\cdot \left(\varepsilon_r-1\right)^3}$ (11.154)
$\displaystyle Q_{29}$ $\displaystyle = \frac{15.16}{1+0.196\cdot \left(\varepsilon_r-1\right)^2}$ (11.155)

with $ Z_L(f_n)$ being the frequency-dependent power-current characteristic impedance formulation of a single microstrip with width $ W$ according to [21] (see eq. (11.50)). Up to $ f_n=20$, the numerical error of $ Z_{L,o}(f_n)$ and $ Z_{L,e}(f_n)$ is less than 2.5%.

Hammerstad and Jensen

The equations given by E. Hammerstad and Ø. Jensen [18] represent the first generally valid model of coupled microstrips with an acceptable accuracy. The model equations have been validated in the range $ 0.1 \le u \le 10$ and $ g \ge 0.01$, a range which should cover that used in practice.

The homogeneous mode impedances are

$\displaystyle Z_{L,e,o}\left(u, g\right) = \dfrac{Z_{L}(u)}{1 - Z_{L}(u)\cdot \Phi_{e,o}\left(u,g\right) / Z_{F0}}$ (11.156)

The effective dielectric constants are

$\displaystyle \varepsilon_{eff,e,o}\left(u,g,\varepsilon_r\right) = \dfrac{\var...
...r+1}{2} + \dfrac{\varepsilon_r-1}{2}\cdot F_{e,o}\left(u,g,\varepsilon_r\right)$ (11.157)

with

$\displaystyle F_{e}\left(u,g,\varepsilon_r\right)$ $\displaystyle = \left(1+\dfrac{10}{\mu\left(u,g\right)}\right)^{-a(\mu)\cdot b\left(\varepsilon_r\right)}$ (11.158)
$\displaystyle F_{o}\left(u,g,\varepsilon_r\right)$ $\displaystyle = f_o\left(u,g,\varepsilon_r\right)\cdot \left(1+\dfrac{10}{u}\right)^{-a\left(u\right)\cdot b\left(\varepsilon_r\right)}$ (11.159)

whence $ a(u)$ and $ b\left(\varepsilon_r\right)$ denote eqs. (11.16) and (11.17) of the single microstrip line. The characteristic impedance of the single microstrip line $ Z_L\left(u\right)$ also defined in [18] is given by eq. (11.5). The modifying equations for the even mode are as follows

$\displaystyle \Phi_e\left(u,g\right)$ $\displaystyle = \dfrac{\varphi(u)}{\Psi(g)\cdot \left(\alpha(g)\cdot u^{m(g)} +\left(1-\alpha(g)\right)\cdot u^{-m(g)}\right)}$ (11.160)
$\displaystyle \varphi(u)$ $\displaystyle = 0.8645\cdot u^{0.172}$ (11.161)
$\displaystyle \Psi(g)$ $\displaystyle = 1 + \dfrac{g}{1.45} + \dfrac{g^{2.09}}{3.95}$ (11.162)
$\displaystyle \alpha(g)$ $\displaystyle = 0.5\cdot e^{-g}$ (11.163)
$\displaystyle m(g)$ $\displaystyle = 0.2175+\left(4.113+\left(20.36/g\right)^6\right)^{-0.251} +\dfrac{1}{323}\cdot\ln{\left(\dfrac{g^{10}}{1+\left(g/13.8\right)^{10}}\right)}$ (11.164)

The modifying equations for the odd mode are as follows

$\displaystyle \Phi_o\left(u,g\right)$ $\displaystyle = \Phi_e\left(u,g\right)-\dfrac{\theta(g)}{\Psi(g)}\cdot \exp{\left(\beta(g)\cdot u^{-n(g)}\cdot\ln{u}\right)}$ (11.165)
$\displaystyle \theta(g)$ $\displaystyle = 1.729+1.175\cdot\ln{\left(1+\dfrac{0.627}{g+0.327\cdot g^{2.17}}\right)}$ (11.166)
$\displaystyle \beta(g)$ $\displaystyle = 0.2306+\dfrac{1}{301.8}\cdot\ln{\left(\dfrac{g^{10}}{1+\left(g/...
...ght)^{10}}\right)} +\dfrac{1}{5.3}\cdot\ln{\left(1+0.646\cdot g^{1.175}\right)}$ (11.167)
$\displaystyle n(g)$ $\displaystyle = \left(\dfrac{1}{17.7} + \exp{\left(-6.424 - 0.76\cdot \ln{g} - ...
...right)\cdot \ln{\left(\dfrac{10 + 68.3\cdot g^2}{1+32.5\cdot g^{3.093}}\right)}$ (11.168)

Furthermore

$\displaystyle \mu\left(u,g\right)$ $\displaystyle = g\cdot e^{-g}+ u\cdot \dfrac{20+g^2}{10+g^2}$ (11.169)
$\displaystyle f_o\left(u,g,\varepsilon_r\right)$ $\displaystyle = f_{o1}\left(g,\varepsilon_r\right)\cdot \exp{\left(p(g)\cdot \ln{u} + q(g)\cdot \sin{\left(\pi\cdot\log{u}\right)}\right)}$ (11.170)
$\displaystyle p(g)$ $\displaystyle = \dfrac{\exp{\left(-0.745\cdot g^{0.295}\right)}}{\cosh{\left(g^{0.68}\right)}}$ (11.171)
$\displaystyle q(g)$ $\displaystyle = \exp{\left(-1.366-g\right)}$ (11.172)
$\displaystyle f_{o1}\left(g,\varepsilon_r\right)$ $\displaystyle = 1 - \exp{\left(-0.179\cdot g^{0.15} - \dfrac{0.328\cdot g^{r\left(g,\varepsilon_r\right)}}{\ln{\left(e + \left(g/7\right)^{2.8}\right)}}\right)}$ (11.173)
$\displaystyle r\left(g,\varepsilon_r\right)$ $\displaystyle = 1+0.15\cdot\left(1 - \dfrac{\exp{\left(1-\left(\varepsilon_r - 1\right)^2/8.2\right)}}{1+g^{-6}}\right)$ (11.174)

The quasi-static characteristic impedance $ Z_L(u)$ of a zero-thickness single microstrip line denoted in eq. (11.156) can either be calculated using the below equations with $ \varepsilon_{r_{eff}}$ being the quasi-static effective dielectric constant defined by eq. (11.15) or using eqs. (11.5) and (11.15).

$\displaystyle Z_{L1}(u)$ $\displaystyle = \dfrac{Z_{F0}}{u + 1.98\cdot u^{0.172}}$ (11.175)
$\displaystyle Z_{L}(u)$ $\displaystyle = \dfrac{Z_{L1}(u)}{\sqrt{\varepsilon_{r_{eff}}}}$ (11.176)

The errors in the even and odd mode impedances $ Z_{L,e}$ and $ Z_{L,e}$ were found to be less than 0.8% and less than 0.3% for the wavelengths.

The model does not include the effect of non-zero strip thickness or asymmetry. Dispersion is also not included. W. J. Getsinger [33] has proposed modifications to his single strip dispersion model, but unfortunately it is easily shown that the results are asymptotically wrong for extreme values of gap width.

In fact he correctly assumes that in the even mode the two strips are at the same potential, and the total current is twice that on a single strip, and dispersion for even-mode propagation is computed by substituting $ Z_{L,e}/2$ for $ Z_L$ in eqs. (11.60) and (11.61). In the odd mode the two strips are at opposite potentials, and the voltage between strips is twice that of a single strip to ground. Thus the total mode impedance is twice that of a single strip, and the dispersion for odd-mode propagation is computed substituting $ 2Z_{L,o}$ for $ Z_L$ in eqs. (11.60) and (11.61).

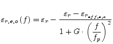
$\displaystyle \varepsilon_{r,e,o}\left(f\right) = \varepsilon_{r} - \frac{\vare...
..._{r} - \varepsilon_{r_{eff,e,o}}}{1 + G\cdot \left(\dfrac{f}{f_{p}}\right)^{2}}$ (11.177)

with

$\displaystyle f_{p}$ $\displaystyle = \begin{cases}\begin{array}{ll} \dfrac{Z_{L,e}}{4\mu_{0} h} & \t...
... &\\ \dfrac{Z_{L,o}}{\mu_{0} h} & \textrm{ odd mode }\\ \end{array} \end{cases}$ (11.178)
$\displaystyle G$ $\displaystyle = \begin{cases}\begin{array}{ll} 0.6 + Z_{L,e}\cdot 0.0045 & \tex...
...\\ &\\ 0.6 + Z_{L,o}\cdot 0.018 & \textrm{ odd mode }\\ \end{array} \end{cases}$ (11.179)

Strip thickness correction

According to R.H. Jansen [34] corrected strip width values have been found in the range of technologically meaningful geometries to be

$\displaystyle W_{t,e}$ $\displaystyle = W + \Delta W\cdot \left(1 - 0.5\cdot \exp{\left(-0.69\cdot\dfrac{\Delta W}{\Delta t}\right)}\right)$ (11.180)
$\displaystyle W_{t,o}$ $\displaystyle = W_{t,e} + \Delta t$ (11.181)

with

$\displaystyle \Delta t = \dfrac{2\cdot t\cdot h}{s\cdot \varepsilon_r} \;\;\;\; \textrm{ for } \;\;\;\; s \gg 2 t$ (11.182)

The author refers to the modifications of the strip width of a single microstrip line $ \Delta W$ given by Hammerstad and Bekkadal. See also eq. (11.21) on page [*].

$\displaystyle \Delta W = \begin{cases}\begin{array}{ll} \dfrac{t}{\pi}\cdot\lef...
...t)}\right) & \textrm{ for } \dfrac{h}{2\pi} \ge W > 2 t \end{array} \end{cases}$ (11.183)

For large spacings $ s$ the single line formulae (11.183) applies.

Transmission losses

The loss equations given by E. Hammerstad and Ø. Jensen [18] for the single microstrip line are also valid for coupled microstrips, provided that the dielectric filling factor, homogeneous impedance, and current distribution factor of the actual mode are used. The following approximation gives good results for odd and even current distribution factors (modification of eq. (11.82)).

$\displaystyle K_{i,e} = K_{i,o} = \exp{\left(-1.2\cdot\left(\dfrac{Z_{L,e} + Z_{L,o}}{2\cdot Z_{F0}}\right)^{0.7}\right)}$ (11.184)


This document was generated by Stefan Jahn on 2007-12-30 using latex2html.